First-trimester artemisinin derivatives and quinine treatments and the risk of adverse pregnancy outcomes in Africa and Asia: A meta-analysis of observational studies
Supporting Files
Public Domain
-
May 02 2017
-
File Language:
English
Details
-
Alternative Title:PLoS Med
-
Personal Author:Dellicour, Stephanie ; Sevene, Esperança ; McGready, Rose ; Tinto, Halidou ; Mosha, Dominic ; Manyando, Christine ; Rulisa, Stephen ; Desai, Meghna ; Ouma, Peter ; Oneko, Martina ; Vala, Anifa ; Rupérez, Maria ; Macete, Eusébio ; Menéndez, Clara ; Nakanabo-Diallo, Seydou ; Kazienga, Adama ; Valéa, Innocent ; Calip, Gregory ; Augusto, Orvalho ; Genton, Blaise ; Njunju, Eric M. ; Moore, Kerryn A. ; d’Alessandro, Umberto ; Nosten, Francois ; ter Kuile, Feiko ; Stergachis, Andy
-
Description:Background
Animal embryotoxicity data, and the scarcity of safety data in human pregnancies, have prevented artemisinin derivatives from being recommended for malaria treatment in the first trimester except in lifesaving circumstances. We conducted a meta-analysis of prospective observational studies comparing the risk of miscarriage, stillbirth, and major congenital anomaly (primary outcomes) among first-trimester pregnancies treated with artemisinin derivatives versus quinine or no antimalarial treatment.
Methods and findings
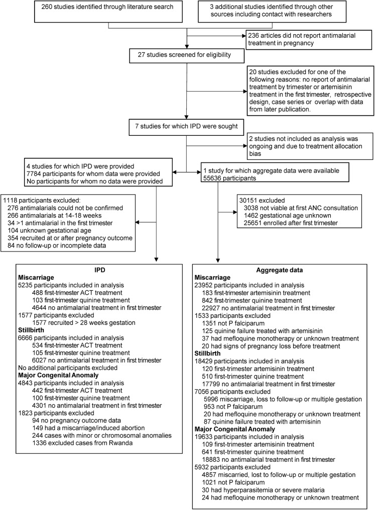
Electronic databases including Medline, Embase, and Malaria in Pregnancy Library were searched, and investigators contacted. Five studies involving 30,618 pregnancies were included; four from sub-Saharan Africa (n = 6,666 pregnancies, six sites) and one from Thailand (n = 23,952). Antimalarial exposures were ascertained by self-report or active detection and confirmed by prescriptions, clinic cards, and outpatient registers. Cox proportional hazards models, accounting for time under observation and gestational age at enrollment, were used to calculate hazard ratios. Individual participant data (IPD) meta-analysis was used to combine the African studies, and the results were then combined with those from Thailand using aggregated data meta-analysis with a random effects model.
Conclusions
Compared to quinine, artemisinin treatment in the first trimester was not associated with an increased risk of miscarriage or stillbirth. While the data are limited, they indicate no difference in the prevalence of major congenital anomalies between treatment groups. The benefits of 3-d artemisinin combination therapy regimens to treat malaria in early pregnancy are likely to outweigh the adverse outcomes of partially treated malaria, which can occur with oral quinine because of the known poor adherence to 7-d regimens.
Review registration
PROSPERO CRD42015032371
Why was this study done?
What did the researchers do and find?
What do these findings mean?
-
Subjects:
-
Source:PLoS Med. 14(5).
-
Pubmed ID:28463996
-
Pubmed Central ID:PMC5412992
-
Document Type:
-
Place as Subject:
-
Volume:14
-
Issue:5
-
Collection(s):
-
Main Document Checksum:urn:sha256:54fbe3c45d8a8055558c26f385806879bc17d75854582def1102431299933c83
-
Download URL:
-
File Type:
Supporting Files
File Language:
English
ON THIS PAGE
CDC STACKS serves as an archival repository of CDC-published products including
scientific findings,
journal articles, guidelines, recommendations, or other public health information authored or
co-authored by CDC or funded partners.
As a repository, CDC STACKS retains documents in their original published format to ensure public access to scientific information.
As a repository, CDC STACKS retains documents in their original published format to ensure public access to scientific information.
You May Also Like
COLLECTION
CDC Public Access