U.S. flag An official website of the United States government.
Official websites use .gov

A .gov website belongs to an official government organization in the United States.

Secure .gov websites use HTTPS

A lock ( ) or https:// means you've safely connected to the .gov website. Share sensitive information only on official, secure websites.

i

Community-level social vulnerability and hip and knee joint replacement surgery receipt among Medicare enrollees with arthritis

Supporting Files
File Language:
English


Details

  • Alternative Title:
    Med Care
  • Personal Author:
  • Description:
    Background:

    Expanded understanding of relevant social determinants of health is essential to inform policies and practices that promote equitable access to hip and knee total joint replacement (TJR).

    Objectives:

    (1) Explore associations between county Minority Health Social Vulnerability Index (MH-SVI) and TJR; (2) assess associations by individual-level race/ethnicity.

    Research Design:

    Retrospective cohort study of Medicare enrollees. CMS claims data were linked with MH-SVI. Multivariable logistic regression models were used to evaluate the odds of TJR according to the MH-SVI quartile in which enrollees resided.

    Subjects:

    10,471,413 traditional Medicare enrollees in 2018 ages ≥67 years with arthritis.

    Measures:

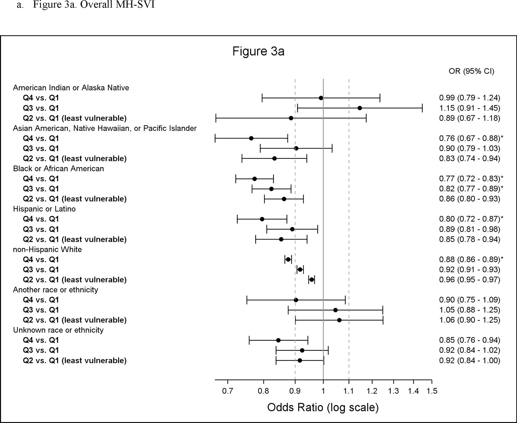
    Main outcome: enrollee primary TJR during hospitalization. Main exposure: Minority-Health Social Vulnerability Index (composite and six themes) for county of enrollee residence. Results were stratified by enrollee race/ethnicity.

    Results:

    Asian American, Native Hawaiian, or Pacific Islander (AANHPI), Black or African American (Black), and Hispanic enrollees comparatively had 26–41% lower odds of receiving TJR than White enrollees. Residing in counties within the highest quartile of composite and socioeconomic status vulnerability measures was associated with lower TJR overall and by race/ethnicity. Residing in counties with increased medical vulnerability for Black and White enrollees; housing type and transportation vulnerability for AANHPI and Hispanic enrollees; minority status and language theme for AANHPI enrollees; and household composition vulnerability for White enrollees were also associated with lower TJR.

    Conclusions:

    Higher levels of social vulnerability were associated with lower TJR. However, the association varied by individual race/ethnicity. Implementing multi-sectoral strategies is crucial for ensuring equitable access to care.

  • Subjects:
  • Keywords:
  • Source:
    Med Care. 62(12):830-839
  • Pubmed ID:
    39374183
  • Pubmed Central ID:
    PMC11560676
  • Document Type:
  • Funding:
  • Volume:
    62
  • Issue:
    12
  • Collection(s):
  • Main Document Checksum:
    urn:sha-512:3be70e03e1b89d020cf42fcea7eb3125b6efc7384eb1d98a1177a7458cd8dabb2860633c218918e17e926effd2af33cb512b0cb5097221a9a057d0bafd7d7667
  • Download URL:
  • File Type:
    Filetype[PDF - 1.12 MB ]
File Language:
English
ON THIS PAGE

CDC STACKS serves as an archival repository of CDC-published products including scientific findings, journal articles, guidelines, recommendations, or other public health information authored or co-authored by CDC or funded partners.

As a repository, CDC STACKS retains documents in their original published format to ensure public access to scientific information.