Guillain-Barré Syndrome, Greater Paris Area
Supporting Files
Public Domain
-
Jun 2006
-
File Language:
English
Details
-
Alternative Title:Emerg Infect Dis
-
Personal Author:
-
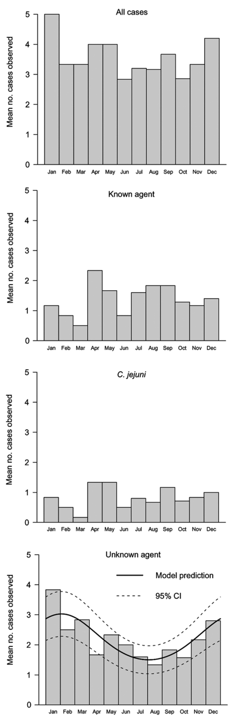
Description:We studied 263 cases of Guillain-Barré syndrome from 1996 to 2001, 40% of which were associated with a known causative agent, mainly Campylobacter jejuni (22%) or cytomegalovirus (15%). The cases with no known agent (60%) peaked in winter, and half were preceded by respiratory infection, influenza-like syndrome, or gastrointestinal illness.
-
Subjects:
-
Source:Emerg Infect Dis. 12(6):990-993.
-
Document Type:
-
Place as Subject:
-
Volume:12
-
Issue:6
-
Collection(s):
-
Main Document Checksum:urn:sha256:79df89c9ba06f2fd73b1364c9da69eedfdf5082bc8fa5d1a25a609c5ffd318c3
-
Download URL:
-
File Type:
Supporting Files
File Language:
English
ON THIS PAGE
CDC STACKS serves as an archival repository of CDC-published products including
scientific findings,
journal articles, guidelines, recommendations, or other public health information authored or
co-authored by CDC or funded partners.
As a repository, CDC STACKS retains documents in their original published format to ensure public access to scientific information.
As a repository, CDC STACKS retains documents in their original published format to ensure public access to scientific information.
You May Also Like
COLLECTION
Emerging Infectious Diseases