Staphylococcus aureus Regulatory RNAs as Potential Biomarkers for Bloodstream Infections
Supporting Files
Public Domain
-
Sep 15 2016
-
Details
-
Alternative Title:Emerg Infect Dis
-
Personal Author:
-
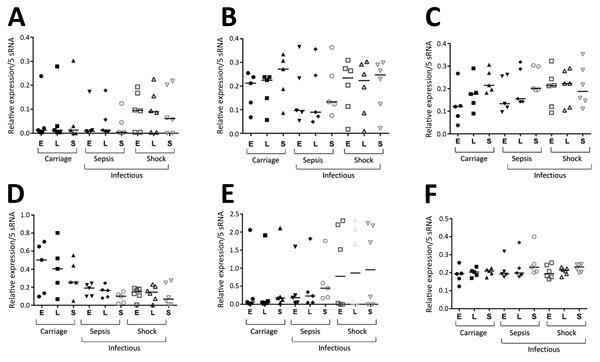
Description:Staphylococcus aureus is a commensal bacterium and pathogen. Identifying biomarkers for the transition from colonization to disease caused by this organism would be useful. Several S. aureus small RNAs (sRNAs) regulate virulence. We investigated presence and expression of 8 sRNAs in 83 S. aureus strains from 42 patients with sepsis or septic shock and 41 asymptomatic colonized carriers. Small pathogenicity island sRNAs sprB and sprC were clade specific. Six sRNAs had variable expression not correlated with clinical status. Expression of RNAIII was lower in strains from septic shock patients than in strains from colonized patients. When RNAIII was associated with expression of sprD, colonizing strains could be discriminated from strains in patients with bloodstream infections, including patients with sepsis and septic shock. Isolates associated with colonization might have sRNAs with target expression different from those of disease isolates. Monitoring expression of RNAIII and sprD could help determine severity of bloodstream infections.
-
Subjects:
-
Source:Emerg Infect Dis. 22(9):1570-1578.
-
Pubmed ID:27224202
-
Pubmed Central ID:PMC4994353
-
Document Type:
-
Volume:22
-
Issue:9
-
Collection(s):
-
Main Document Checksum:urn:sha256:a6789d6595336a24c6e86593338b7cf021a8be191f06468226233882472f4e40
-
Download URL:
-
File Type:
Supporting Files
ON THIS PAGE
CDC STACKS serves as an archival repository of CDC-published products including
scientific findings,
journal articles, guidelines, recommendations, or other public health information authored or
co-authored by CDC or funded partners.
As a repository, CDC STACKS retains documents in their original published format to ensure public access to scientific information.
As a repository, CDC STACKS retains documents in their original published format to ensure public access to scientific information.
You May Also Like
COLLECTION
Emerging Infectious Diseases