Antimicrobial Susceptibility of Urogenital and Extragenital Neisseria gonorrhoeae Isolates Among Men Who Have Sex With Men: Strengthening the US Response to Resistant Gonorrhea and Enhanced Gonococcal Isolate Surveillance Project, 2018 to 2019
Supporting Files
-
12 01 2021
-
File Language:
English
Details
-
Alternative Title:Sex Transm Dis
-
Personal Author:Quilter, Laura A.S. ; St. Cyr, Sancta B. ; Hong, Jaeyoung ; Asbel, Lenore ; Bautista, Ilene ; Carter, Bonnie ; Casimir, Yanick ; Denny, Michael ; Ervin, Melissa ; Gomez, Raquel ; Harvey, Alesia ; Holderman, Justin L. ; Johnson, Kimberly ; Kohn, Robert P. ; Learner, Emily R. ; Mauk, Kerry ; Menza, Timothy ; Mettenbrink, Christie ; Nettleton, William D. ; Nicosia, Karen R. ; Pham, Cau D. ; Ried, Christopher ; Schlanger, Karen ; Schneider, Annah ; Soge, Olusegun O. ; Tabidze, Irina ; Taylor, Stephanie N. ; Tilghman, Winston ; Toler, Cindy ; Weinstock, Hillard ; Torrone, Elizabeth A.
-
Description:Background:
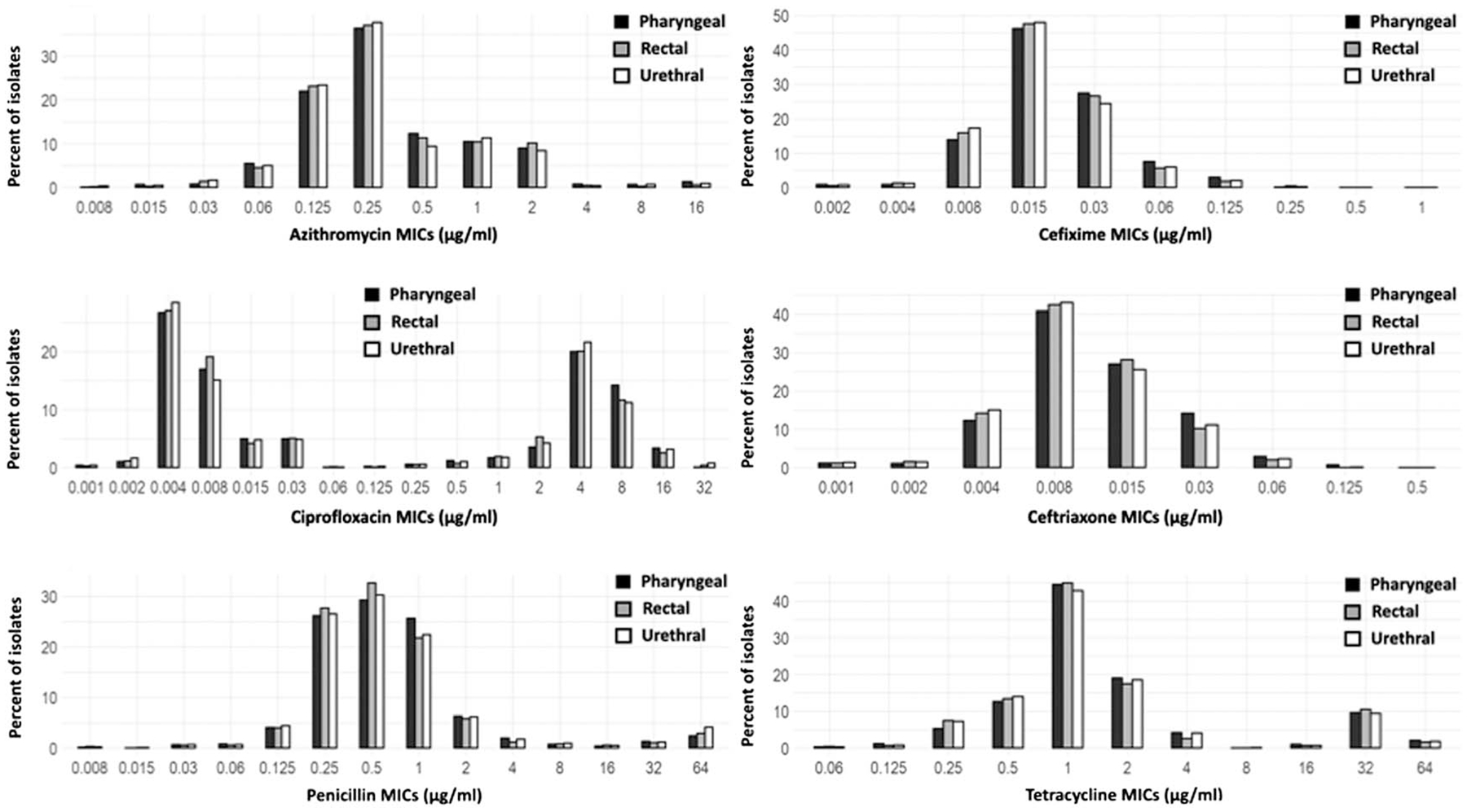
We investigated differences in gonococcal antimicrobial susceptibility by anatomic site among cisgender men who have sex with men (MSM) using specimens collected through the Centers for Disease Control and Prevention’s enhanced Gonococcal Isolate Surveillance Project and Strengthening the US Response to Resistant Gonorrhea.
Methods:
During the period January 1, 2018–December 31, 2019, 12 enhanced Gonococcal Isolate Surveillance Project and 8 Strengthening the US Response to Resistant Gonorrhea sites collected urogenital, pharyngeal, and rectal isolates from cisgender MSM in sexually transmitted disease clinics. Gonococcal isolates were sent to regional laboratories for antimicrobial susceptibility testing by agar dilution. To account for correlated observations, linear mixed-effects models were used to calculate geometric mean minimum inhibitory concentrations (MICs), and mixed-effects logistic regression models were used to calculate the proportion of isolates with elevated or resistant MICs; comparisons were made across anatomic sites.
Results:
Participating clinics collected 3974 urethral, 1553 rectal, and 1049 pharyngeal isolates from 5456 unique cisgender MSM. There were no significant differences in the geometric mean MICs for azithromycin, ciprofloxacin, penicillin, and tetracycline by anatomic site. For cefixime and ceftriaxone, geometric mean MICs for pharyngeal isolates were higher compared with anogenital isolates (P < 0.05). The proportion of isolates with elevated ceftriaxone MICs (≥0.125 μg/mL) at the pharynx (0.67%) was higher than at rectal (0.13%) and urethral (0.18%) sites (P < 0.05).
Conclusions:
Based on data collected from multijurisdictional sentinel surveillance projects, antimicrobial susceptibility patterns of Neisseria gonorrhoeae isolates may differ among MSM at extragenital sites, particularly at the pharynx. Continued investigation into gonococcal susceptibility patterns by anatomic site may be an important strategy to monitor and detect the emergence of antimicrobial resistant gonorrhea over time.
-
Subjects:
-
Source:Sex Transm Dis. 48(12):S111-S117
-
Pubmed ID:34475363
-
Pubmed Central ID:PMC11287478
-
Document Type:
-
Funding:
-
Volume:48
-
Issue:12
-
Collection(s):
-
Main Document Checksum:urn:sha-512:4543ddeef2055c11b364a746e6fd7a3806633a39b945129419bab15bca054aa0d22ab0185aad83749127a971ce46a40d2b209ee765ce3abab376997a23c66dcd
-
Download URL:
-
File Type:
File Language:
English
ON THIS PAGE
CDC STACKS serves as an archival repository of CDC-published products including
scientific findings,
journal articles, guidelines, recommendations, or other public health information authored or
co-authored by CDC or funded partners.
As a repository, CDC STACKS retains documents in their original published format to ensure public access to scientific information.
As a repository, CDC STACKS retains documents in their original published format to ensure public access to scientific information.
You May Also Like
COLLECTION
CDC Public Access