Early priming with inactivated poliovirus vaccine (IPV) and intradermal fractional dose IPV administered by a microneedle device: A randomized controlled trial
Supporting Files
-
11 27 2015
-
File Language:
English
Details
-
Alternative Title:Vaccine
-
Personal Author:
-
Description:Introduction:
Inactivated poliovirus vaccine (IPV) introduction and phased oral poliovirus vaccine (OPV) cessation are essential for eradication of polio.
Methods:
Healthy 6-week old infants in Bangladesh were randomized to one of five study arms: receipt of trivalent OPV (tOPV) or bivalent OPV (bOPV) at ages 6, 10 and 14 weeks, intramuscular IPV or intradermal one-fifth fractional dose IPV (f-IPV) at ages 6 and 14 weeks, or f-IPV at ages 6 and 14 weeks with bOPV at age 10 weeks (f-IPV/bOPV). All participants received tOPV at age 18 weeks.
Results:
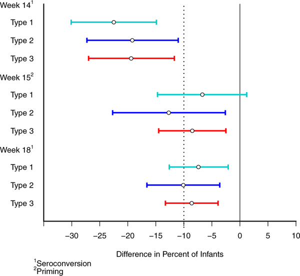
Of 975 infants randomized, 95% (922) completed follow-up. Type 1 seroconversion after 3 doses at 6, 10 and 14 weeks was higher with bOPV compared with tOPV (99% vs 94%, p = 0.019). Seroconversions to types 1 and 3 after 2 IPV doses at ages 6 and 14 weeks were no different than after 3 doses of tOPV or bOPV at ages 6, 10 and 14 weeks. A priming response, seroconversion 1 week after IPV at 14 weeks among those who did not seroconvert after IPV at 6 weeks, was observed against poliovirus types 1, 2 and 3 in 91%, 84% and 97%, respectively. Compared with IPV, f-IPV failed non-inferiority tests for seroconversion with 1 or 2 doses and priming after 1 dose.
Discussion:
The findings demonstrate considerable priming with IPV at age 6 weeks, comparable immunogenicity of tOPV and bOPV, and inferior immunogenicity of one-fifth f-IPV compared with IPV. If IPV induced priming at age 6 weeks is similar to that at age 14 weeks, IPV could be administered at a younger age and possibly with a higher coverage.
-
Subjects:
-
Source:Vaccine. 33(48):6816-6822
-
Pubmed ID:26476367
-
Pubmed Central ID:PMC10423714
-
Document Type:
-
Funding:
-
Volume:33
-
Issue:48
-
Collection(s):
-
Main Document Checksum:urn:sha256:45c9fd189489094b7750a6bbf9ac2dd748a698bb15cae6b9eaa7807e06fe7290
-
Download URL:
-
File Type:
Supporting Files
File Language:
English
ON THIS PAGE
CDC STACKS serves as an archival repository of CDC-published products including
scientific findings,
journal articles, guidelines, recommendations, or other public health information authored or
co-authored by CDC or funded partners.
As a repository, CDC STACKS retains documents in their original published format to ensure public access to scientific information.
As a repository, CDC STACKS retains documents in their original published format to ensure public access to scientific information.
You May Also Like
COLLECTION
CDC Public Access