Immunogenicity to poliovirus type 2 following two doses of fractional intradermal inactivated poliovirus vaccine: A novel dose sparing immunization schedule
Supporting Files
-
5 19 2017
-
File Language:
English
Details
-
Alternative Title:Vaccine
-
Personal Author:
-
Description:Introduction:
The polio eradication endgame strategic plan calls for the sequential removal of Sabin poliovirus serotypes from the trivalent oral poliovirus vaccine (tOPV), starting with type 2, and the introduction of ≥1 dose of inactivated poliovirus vaccine (IPV), to maintain an immunity base against poliovirus type 2. The global removal of oral poliovirus type 2 was successfully implemented in May 2016. However, IPV supply constraints has prevented introduction in 21 countries and led to complete stock-out in >20 countries.
Methods:
We conducted a literature review and contacted corresponding authors of recent studies with fractional-dose IPV (fIPV), one-fifth of intramuscular dose administered intradermally, to conduct additional type 2 immunogenicity analyses of two fIPV doses compared with one full-dose IPV.
Results:
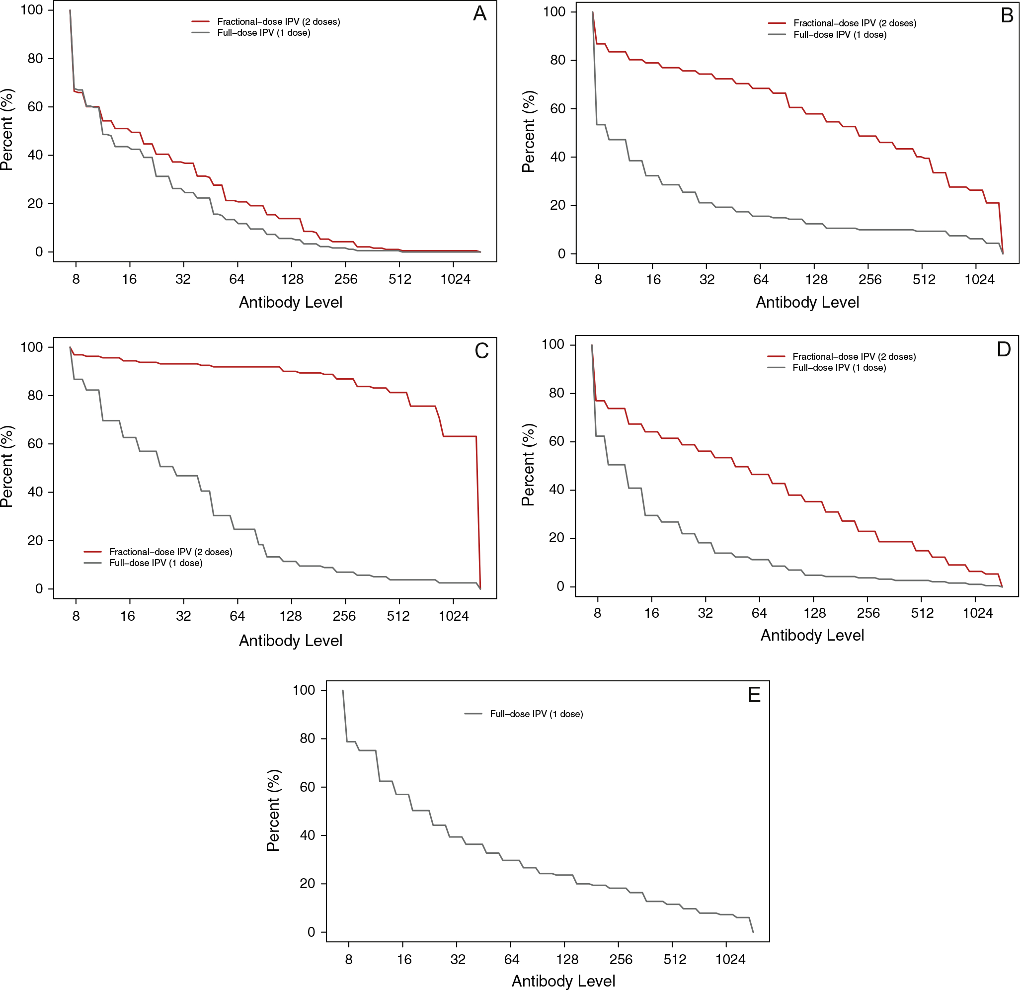
Four studies were identified that assessed immunogenicity of two fIPV doses compared to one full-dose IPV. Two fractional doses are more immunogenic than 1 full-dose, with type 2 seroconversion rates improving between absolute 19–42% (median: 37%, p < 0.001) and relative increase of 53–125% (median: 82%), and antibody titer to type 2 increasing by 2–32-fold (median: 10-fold). Early age of administration and shorter intervals between doses were associated with lower immunogenicity.
Discussion:
Overall, two fIPV doses are more immunogenic than a single full-dose, associated with significantly increased seroconversion rates and antibody titers. Two fIPV doses together use two-fifth of the vaccine compared to one full-dose IPV. In response to the current IPV shortage, a schedule of two fIPV doses at ages 6 and 14 weeks has been endorsed by technical oversight committees and has been introduced in some affected countries.
-
Subjects:
-
Source:Vaccine. 35(22):2993-2998
-
Pubmed ID:28434691
-
Pubmed Central ID:PMC10423713
-
Document Type:
-
Funding:
-
Volume:35
-
Issue:22
-
Collection(s):
-
Main Document Checksum:urn:sha256:a8b8d52577847c3bda0a9b1a4e28b7aeedf13d4fc6f2ff35ad5e02aa0a99e7f6
-
Download URL:
-
File Type:
Supporting Files
File Language:
English
ON THIS PAGE
CDC STACKS serves as an archival repository of CDC-published products including
scientific findings,
journal articles, guidelines, recommendations, or other public health information authored or
co-authored by CDC or funded partners.
As a repository, CDC STACKS retains documents in their original published format to ensure public access to scientific information.
As a repository, CDC STACKS retains documents in their original published format to ensure public access to scientific information.
You May Also Like
COLLECTION
CDC Public Access