U.S. flag An official website of the United States government.
Official websites use .gov

A .gov website belongs to an official government organization in the United States.

Secure .gov websites use HTTPS

A lock ( ) or https:// means you've safely connected to the .gov website. Share sensitive information only on official, secure websites.

i

Model-based Analysis of Tuberculosis Genotype Clusters in the United States Reveals High Degree of Heterogeneity in Transmission and State-level Differences Across California, Florida, New York, and Texas

Supporting Files
File Language:
English


Details

  • Alternative Title:
    Clin Infect Dis
  • Personal Author:
  • Description:
    Background.

    Reductions in tuberculosis (TB) transmission have been instrumental in lowering TB incidence in the United States. Sustaining and augmenting these reductions are key public health priorities.

    Methods.

    We fit mechanistic transmission models to distributions of genotype clusters of TB cases reported to the Centers for Disease Control and Prevention during 2012–2016 in the United States and separately in California, Florida, New York, and Texas. We estimated the mean number of secondary cases generated per infectious case (R0) and individual-level heterogeneity in R0 at state and national levels and assessed how different definitions of clustering affected these estimates.

    Results.

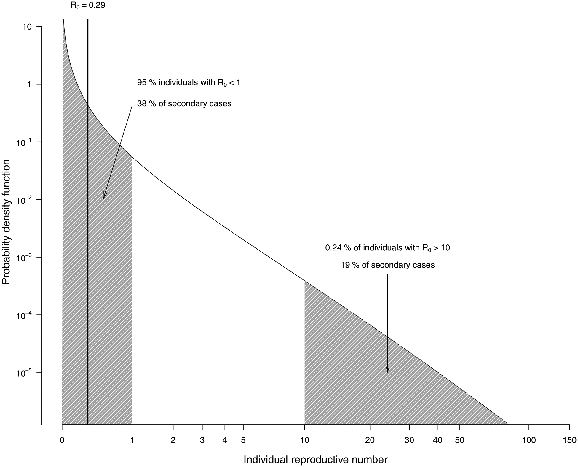
    In clusters of genotypically linked TB cases that occurred within a state over a 5-year period (reference scenario), the estimated R0 was 0.29 (95% confidence interval [CI], .28–.31) in the United States. Transmission was highly heterogeneous; 0.24% of simulated cases with individual R0 >10 generated 19% of all recent secondary transmissions. R0 estimate was 0.16 (95% CI, .15–.17) when a cluster was defined as cases occurring within the same county over a 3-year period. Transmission varied across states: estimated R0s were 0.34 (95% CI, .3–.4) in California, 0.28 (95% CI, .24–.36) in Florida, 0.19 (95% CI, .15–.27) in New York, and 0.38 (95% CI, .33–.46) in Texas.

    Conclusions.

    TB transmission in the United States is characterized by pronounced heterogeneity at the individual and state levels. Improving detection of transmission clusters through incorporation of whole-genome sequencing and identifying the drivers of this heterogeneity will be essential to reducing TB transmission.

  • Keywords:
  • Source:
    Clin Infect Dis. 75(8):1433-1441
  • Pubmed ID:
    35143641
  • Pubmed Central ID:
    PMC9412192
  • Document Type:
  • Funding:
  • Volume:
    75
  • Issue:
    8
  • Collection(s):
  • Main Document Checksum:
    urn:sha256:fc131eccde3b23e0900481fa6a2da36efec652aa1d19b9d6a5f467e33dd02e22
  • Download URL:
  • File Type:
    Filetype[PDF - 1.25 MB ]
File Language:
English
ON THIS PAGE

CDC STACKS serves as an archival repository of CDC-published products including scientific findings, journal articles, guidelines, recommendations, or other public health information authored or co-authored by CDC or funded partners.

As a repository, CDC STACKS retains documents in their original published format to ensure public access to scientific information.