U.S. flag An official website of the United States government.
Official websites use .gov

A .gov website belongs to an official government organization in the United States.

Secure .gov websites use HTTPS

A lock ( ) or https:// means you've safely connected to the .gov website. Share sensitive information only on official, secure websites.

i

Folate forms in red blood cell lysates and conventionally prepared whole blood lysates appear stable for up to 2 years at −70°C and show comparable concentrations

Supporting Files
File Language:
English


Details

  • Alternative Title:
    J Nutr
  • Personal Author:
  • Description:
    Background:

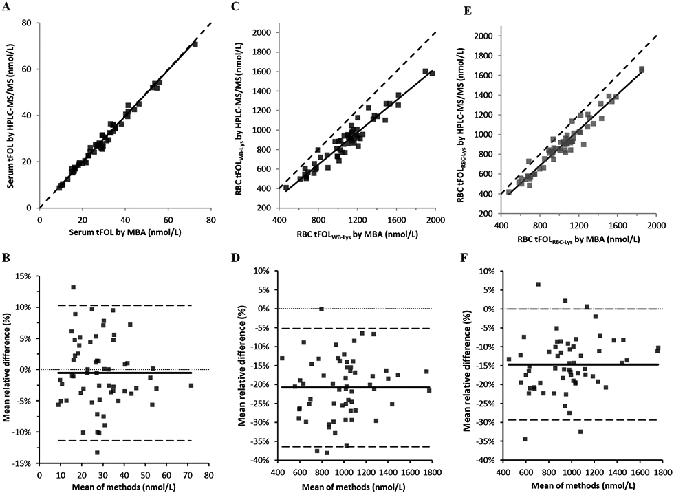
    The use of red blood cell lysates (RBC-Lys) eliminates the need for serum folate and hematocrit measurement to calculate RBC folate. Information on the long-term frozen storage stability of RBC-Lys is missing.

    Objective:

    We aimed to assess the comparability of RBC folate forms in whole blood lysates (WB-Lys) and RBC-Lys and the folate stability in both matrices.

    Methods:

    We prepared conventional WB-Lys (1/11 dilution with 1% ascorbic acid) and RBC-Lys (1/11 dilution of washed and saline diluted RBCs with 1% ascorbic acid) from EDTA blood (n=60 donors) and stored lysates at −70°C until analysis at baseline (1 wk), 3, 6, 12, and 24 mo. Prior to analysis by HPLC-MS/MS, we incubated the WB-Lys (4 h at 37°C) and treated the RBC-Lys with human recombinant γ-glutamyl hydrolase (~30 min at room temperature) for folate polyglutamate deconjugation. We analyzed RBC-Lys samples for hemoglobin (same aliquot) to normalize for the pre-analytical dilution; hemoglobin-folate was converted to RBC folate for each folate form using the mean corpuscular hemoglobin concentration. We analyzed folate forms and hematocrit in matching serum samples for traditional RBC folate calculation.

    Results:

    At baseline, results for individual RBC folate forms derived from WB-Lys vs RBC-Lys samples showed excellent correlation (Pearson r ≥0.97). Concentrations (mean±SD, nmol/L) compared well for total folate (886±255 vs 899±271), 5-methyltetrahydrofolate (831±258 vs 843±276), and non-methyl folate (53.3±74.4 vs 52.9±70.7), but were 17% higher in RBC-Lys for MeFox (147±44.1 vs 172±53.5). Frozen storage of WB-Lys and RBC-Lys samples for ≤24 mo showed ≤5% change in total folate and 5-methyltetrahydrofolate, ≤13% change in non-methyl folate, and ≤11% change in MeFox.

    Conclusion:

    Erythrocyte folate forms appear to be stable in RBC-Lys samples stored frozen at −70°C for ≤2 y. The relatively small changes in folate concentrations over time were comparable between RBC-Lys and conventionally prepared WB-Lys samples.

  • Subjects:
  • Source:
    J Nutr. 151(9):2852-2860
  • Pubmed ID:
    34091683
  • Pubmed Central ID:
    PMC9210571
  • Document Type:
  • Funding:
  • Volume:
    151
  • Issue:
    9
  • Collection(s):
  • Main Document Checksum:
    urn:sha256:857dd509923a4f32a14e9a47b537e0b966811affa63799d36ee65fb7b0689f88
  • Download URL:
  • File Type:
    Filetype[PDF - 434.34 KB ]
File Language:
English
ON THIS PAGE

CDC STACKS serves as an archival repository of CDC-published products including scientific findings, journal articles, guidelines, recommendations, or other public health information authored or co-authored by CDC or funded partners.

As a repository, CDC STACKS retains documents in their original published format to ensure public access to scientific information.