Asian American/Pacific Islander and Hispanic ethnic enclaves, neighborhood socioeconomic status, and hepatocellular carcinoma incidence in California: An update
Supporting Files
-
2 2022
-
File Language:
English
Details
-
Alternative Title:Cancer Epidemiol Biomarkers Prev
-
Personal Author:
-
Description:Background:
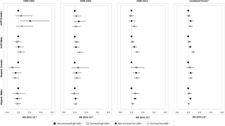
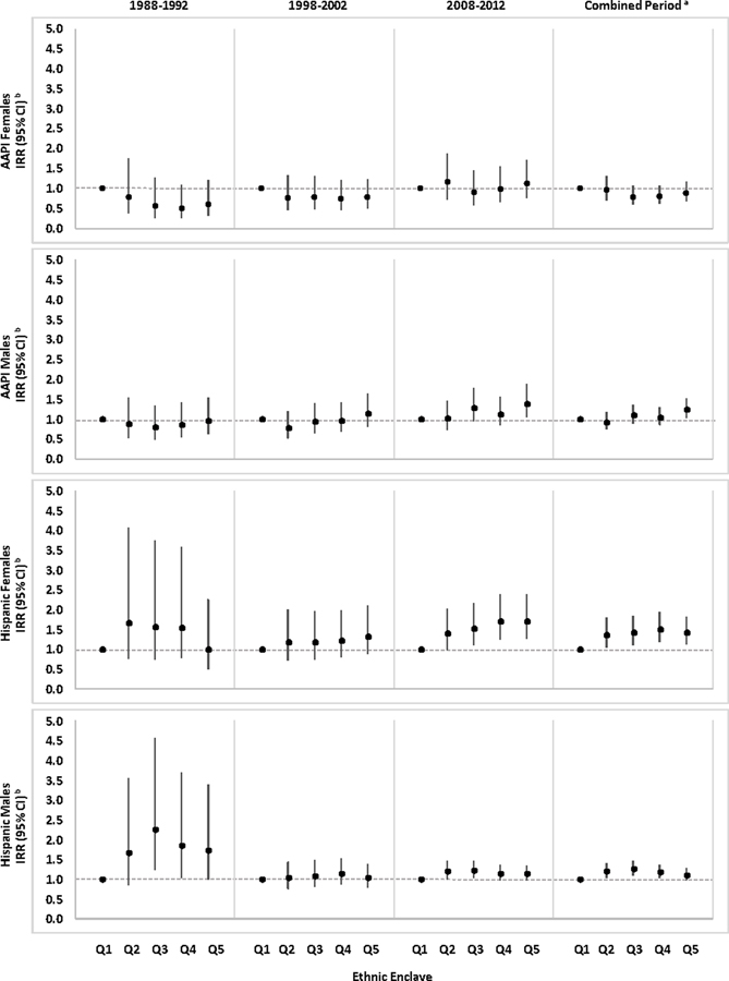
Using more recent cancer registry data, we analyzed disparities in hepatocellular carcinoma (HCC) incidence by ethnic enclave and neighborhood socioeconomic status (nSES) among Asian American/Pacific Islander (AAPI) and Hispanic populations in California.
Methods:
Primary, invasive HCC cases were identified from the California Cancer Registry during 1988–1992, 1998–2002, and 2008–2012. Age-adjusted incidence rates (per 100,000 population), incidence rate ratios, and corresponding 95% confidence intervals were calculated for AAPI or Hispanic enclave, nSES, and the joint effects of ethnic enclave and nSES by time period (and the combination of the three periods), sex, and race/ethnicity.
Results:
In the combined time period, HCC risk increased 25% for highest versus lowest quintile of AAPI enclave among AAPI males. HCC risk increased 22% and 56% for lowest versus highest quintile of nSES among AAPI females and males, respectively. In joint analysis, AAPI males living in low nSES areas irrespective of enclave status were at 17–43% increased HCC risk compared to AAPI males living in areas of non-enclave/high nSES. HCC risk increased by 22% for Hispanic females living in areas of low nSES irrespective of enclave status and by 19% for Hispanic males living in areas of non-enclave/low nSES compared to their counterparts living in areas of non-enclave/high nSES.
Conclusions:
We found significant variation in HCC incidence by ethnic enclave and nSES among AAPI and Hispanic populations in California by sex and time period.
Impact:
Future studies should explore how specific attributes of enclaves and nSES impact HCC risk for AAPI and Hispanic populations.
-
Subjects:
-
Source:Cancer Epidemiol Biomarkers Prev. 31(2):382-392
-
Pubmed ID:34853019
-
Pubmed Central ID:PMC8825691
-
Document Type:
-
Funding:HHSN261201800032C/CA/NCI NIH HHSUnited States/ ; HHSN261201800009C/CA/NCI NIH HHSUnited States/ ; NU58DP006344/DP/NCCDPHP CDC HHSUnited States/ ; HHSN261201800015I/CA/NCI NIH HHSUnited States/ ; F31 CA257351/CA/NCI NIH HHSUnited States/ ; T32 AG049663/AG/NIA NIH HHSUnited States/ ; HHSN261201800032I/CA/NCI NIH HHSUnited States/ ; HHSN261201800015C/CA/NCI NIH HHSUnited States/ ; HHSN261201800009I/CA/NCI NIH HHSUnited States/
-
Place as Subject:
-
Volume:31
-
Issue:2
-
Collection(s):
-
Main Document Checksum:urn:sha256:e62c302e986ba078bbbddfd892834a221c7782df51f0a9c5ad3ac03b91b89e51
-
Download URL:
-
File Type:
Supporting Files
File Language:
English
ON THIS PAGE
CDC STACKS serves as an archival repository of CDC-published products including
scientific findings,
journal articles, guidelines, recommendations, or other public health information authored or
co-authored by CDC or funded partners.
As a repository, CDC STACKS retains documents in their original published format to ensure public access to scientific information.
As a repository, CDC STACKS retains documents in their original published format to ensure public access to scientific information.
You May Also Like
COLLECTION
CDC Public Access