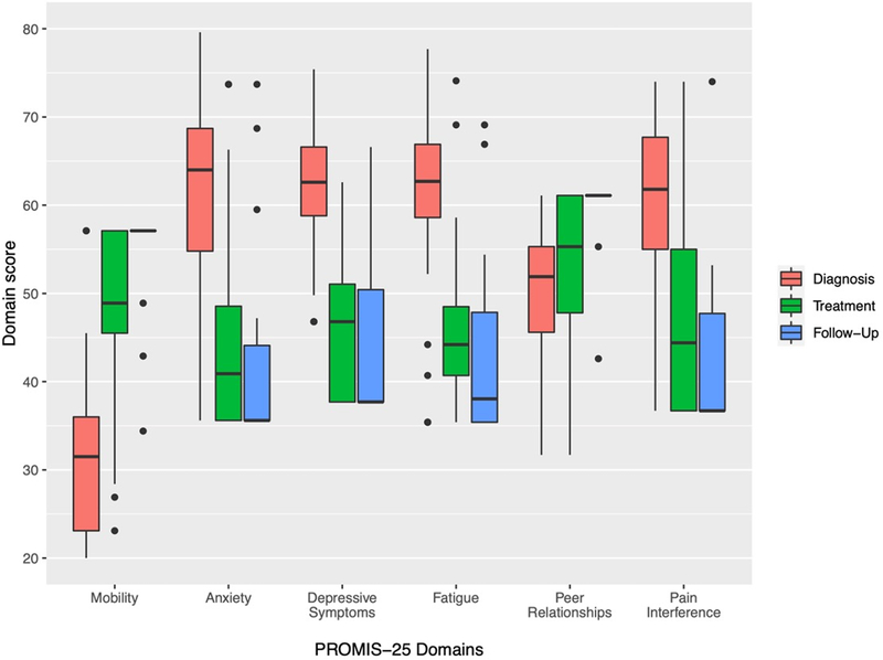
Pediatric lymphoma patients in Malawi present with poor health-related quality of life at diagnosis and improve throughout treatment and follow-up across all Pediatric PROMIS-25 domains
Supporting Files
-
10 2021
-
File Language:
English
Details
-
Alternative Title:Pediatr Blood Cancer
-
Personal Author:Ellis, Grace K. ; Chapman, Hutton ; Manda, Agness ; Salima, Ande ; Itimu, Salama ; Banda, Grace ; Seguin, Ryan ; Manda, Geoffrey ; Butia, Mercy ; Huibers, Minke ; Ozuah, Nmazuo ; Tilly, Alyssa ; Stover, Angela M. ; Basch, Ethan ; Gopal, Satish ; Reeve, Bryce B. ; Westmoreland, Katherine D. ; Ellis, Grace K. ; Chapman, Hutton ; Manda, Agness ; Salima, Ande ; Itimu, Salama ; Banda, Grace ; Seguin, Ryan ; Manda, Geoffrey ; Butia, Mercy ; Huibers, Minke ; Ozuah, Nmazuo ; Tilly, Alyssa ; Stover, Angela M. ; Basch, Ethan ; Gopal, Satish ; Reeve, Bryce B. ; Westmoreland, Katherine D.
-
Description:Background:
Patient-reported outcomes (PROs) that assess health-related quality of life (HRQoL) are increasingly important components of cancer care and research that are infrequently used in sub-Saharan Africa (SSA).
Methods:
We administered the Chichewa Pediatric Patient-Reported Outcome Measurement Information System Pediatric (PROMIS)-25 at diagnosis, active treatment, and follow-up among pediatric lymphoma patients in Lilongwe, Malawi. Mean scores were calculated for the six PROMIS-25 HRQoL domains (Mobility, Anxiety, Depressive Symptoms, Fatigue, Peer Relationships, Pain Interference). Differences in HRQoL throughout treatment were compared using the minimally important difference (MID) and an ANOVA analysis. Kaplan-Meier survival estimates and Cox hazard ratios for mortality are reported.
Results:
Seventy-five children completed PROMIS-25 surveys at diagnosis, 35(47%) during active treatment, and 24(32%) at follow-up. The majority of patients died (n= 37, 49%) or were lost-to-follow-up (n=6, 8%). Most (n=51, 68%) were male, median age was 10 (IQR 8–12), 48/73 (66%) presented with advanced Stage III/IV, 61(81%) were diagnosed with Burkitt lymphoma and 14(19%) Hodgkin lymphoma. At diagnosis, HRQoL was poor across all domains, except for Peer Relationships. Improvements in HRQoL during active treatment and follow-up exceeded the MID. On exploratory analysis, fair-poor PROMIS Mobility<40 and severe Pain Intensity=10 at diagnosis were associated with increased mortality risk and worse survival, but not statistically significant.
Conclusions:
Pediatric lymphoma patients in Malawi present with poor HRQoL that improves throughout treatment and survivorship. Baseline PROMIS scores may provide important prognostic information. PROs offer an opportunity to include patient voices and prioritize holistic patient-centered care in low-resource settings.
-
Subjects:
-
Source:Pediatr Blood Cancer. 68(10):e29257 ; Pediatr Blood Cancer. 68(10):e29257
-
Pubmed ID:34339099
-
Pubmed Central ID:PMC8497011
-
Document Type:
-
Funding:K01 TW009488/TW/FIC NIH HHSUnited States/ ; U54 CA190152/CA/NCI NIH HHSUnited States/ ; P30 CA016086/CA/NCI NIH HHSUnited States/ ; T32 GM086330/GM/NIGMS NIH HHSUnited States/ ; UM1 CA121947/CA/NCI NIH HHSUnited States/ ; D43 TW009340/TW/FIC NIH HHSUnited States/ ; K01 TW011191/TW/FIC NIH HHSUnited States/ ; U2G PS001965/PS/NCHHSTP CDC HHSUnited States/
-
Volume:68
-
Issue:10
-
Collection(s):
-
Main Document Checksum:urn:sha256:f001e3e5eac8a83db56ecb83a4f14cb70dfdb007618c12e372c849f53a240508
-
Download URL:
-
File Type:
Supporting Files
File Language:
English
ON THIS PAGE
CDC STACKS serves as an archival repository of CDC-published products including
scientific findings,
journal articles, guidelines, recommendations, or other public health information authored or
co-authored by CDC or funded partners.
As a repository, CDC STACKS retains documents in their original published format to ensure public access to scientific information.
As a repository, CDC STACKS retains documents in their original published format to ensure public access to scientific information.
You May Also Like
COLLECTION
CDC Public Access