Impact of Intensive Lifestyle Intervention on neural food cue-reactivity: Action for Health in Diabetes Brain Ancillary Study
Supporting Files
-
May 21 2019
File Language:
English
Details
-
Alternative Title:Obesity (Silver Spring)
-
Personal Author:
-
Corporate Authors:
-
Description:Objective:
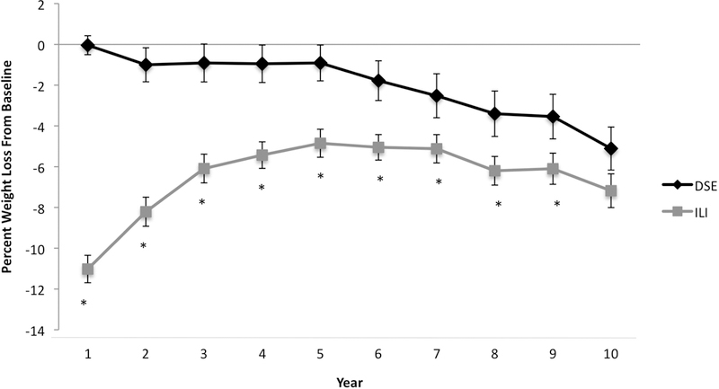
Look AHEAD was a randomized trial comparing the effects of an intensive lifestyle intervention (ILI) vs. a diabetes support and education (DSE) control group in adults with type 2 diabetes and overweight/obesity. We used functional magnetic resonance imaging (fMRI) to determine if neural food cue-reactivity differed for these groups 10 years after randomization.
Methods:
232 participants (ILI n=125, 72% female, DSE n=107, 64% female) were recruited at 3 Look AHEAD sites for fMRI. Neural response to high-calorie foods compared to non-foods was assessed in DSE vs. ILI. Exploratory correlations were conducted within ILI to identify regions where activity was associated with degree of weight loss.
Results:
Voxel-wise whole-brain comparisons revealed greater reward-processing activity in left caudate in DSE compared to ILI and greater activity in attention/visual processing regions in ILI than DSE (p<0.05, Family Wise Error Corrected). Exploratory analyses revealed greater weight loss among intervention participants from baseline was associated with brain activation indicative of increased attention/visual processing and cognitive control in response to high-calorie food cues (p<0.001, uncorrected).
Conclusions:
These findings suggest there may be legacy effects of participation in a behavioral weight loss intervention, with reduced reward-related activity and enhanced attention/visual processing in response to high-calorie foods.
-
Subjects:
-
Source:Obesity (Silver Spring). 27(7):1076-1084
-
Pubmed ID:31112370
-
Pubmed Central ID:PMC6591068
-
Document Type:
-
Funding:U01 DK057151/DK/NIDDK NIH HHS/United States ; U01 DK057135/DK/NIDDK NIH HHS/United States ; UL1 RR024153/RR/NCRR NIH HHS/United States ; P30 DK046204/DK/NIDDK NIH HHS/United States ; Indian Health Service/ ; ULI RR 024153/Clinical Translational Research Center/ ; M01 RR000056/RR/NCRR NIH HHS/United States ; U01 DK057219/DK/NIDDK NIH HHS/United States ; HL/NHLBI NIH HHS/United States ; NR/NINR NIH HHS/United States ; U01 DK057154/DK/NIDDK NIH HHS/United States ; National Center on Minority Health and Health Disparities/ ; DK092237-02S2/DK/NIDDK NIH HHS/United States ; U01 DK056992/DK/NIDDK NIH HHS/United States ; U01 DK057171/DK/NIDDK NIH HHS/United States ; R01 DK092237/DK/NIDDK NIH HHS/United States ; U01 DK057182/DK/NIDDK NIH HHS/United States ; DK092237-01/DK/NIDDK NIH HHS/United States ; U01 DK057136/DK/NIDDK NIH HHS/United States ; U01 DK057002/DK/NIDDK NIH HHS/United States ; U01 DK057177/DK/NIDDK NIH HHS/United States ; U01 DK057078/DK/NIDDK NIH HHS/United States ; M01RR01346/Frederic C. Bartter General Clinical Research Center/ ; U.S. Department of Veterans Affairs/ ; U01 DK057131/DK/NIDDK NIH HHS/United States ; CC/CDC HHS/United States ; Office of Research on Women's Health/ ; M01 RR000043/RR/NCRR NIH HHS/United States ; DK57136, DK57149, DK56990, DK57177, DK57171, DK571/DK/NIDDK NIH HHS/United States ; U01 DK056990/DK/NIDDK NIH HHS/United States ; U01 DK057178/DK/NIDDK NIH HHS/United States ; MO1RR000056/University of Pittsburgh Clinical Research Center/ ; U01 DK057008/DK/NIDDK NIH HHS/United States ; U01 DK057149/DK/NIDDK NIH HHS/United States ; M01 RR001346/RR/NCRR NIH HHS/United States
-
Volume:27
-
Issue:7
-
Collection(s):
-
Main Document Checksum:urn:sha256:8d72170a3cfdb477ee78aa7cacdad56a84cfb18b1daed59dc6e7d28758705e5e
-
Download URL:
-
File Type:
Supporting Files
File Language:
English
ON THIS PAGE
CDC STACKS serves as an archival repository of CDC-published products including
scientific findings,
journal articles, guidelines, recommendations, or other public health information authored or
co-authored by CDC or funded partners.
As a repository, CDC STACKS retains documents in their original published format to ensure public access to scientific information.
As a repository, CDC STACKS retains documents in their original published format to ensure public access to scientific information.
You May Also Like
COLLECTION
CDC Public Access