U.S. flag An official website of the United States government.
Official websites use .gov

A .gov website belongs to an official government organization in the United States.

Secure .gov websites use HTTPS

A lock ( ) or https:// means you've safely connected to the .gov website. Share sensitive information only on official, secure websites.

i

An ELISA-based method for detection of rabies virus nucleoprotein-specific antibodies in human antemortem samples

Supporting Files Public Domain
File Language:
English


Details

  • Alternative Title:
    PLoS One
  • Personal Author:
  • Description:
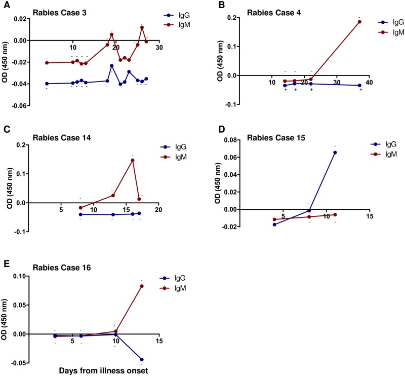
    Rabies is a fatal encephalitic disease in humans and animals caused by lyssaviruses, most commonly rabies virus (RABV). Human antemortem diagnosis of rabies is a complex process involving multiple sample types and tests for the detection of antibodies, antigen (protein), and nucleic acids (genomic RNA). Serological diagnosis of human rabies includes the detection of either neutralizing or binding antibodies in the cerebrospinal fluid (CSF) or serum samples from unimmunized individuals without prior rabies vaccination or passive immunization with purified immunoglobulins. While neutralizing antibodies are targeted against the surface-expressed glycoprotein (G protein), binding antibodies to viral antigens are predominantly against the nucleoprotein (N protein), although there can be antibodies against all RABV-expressed proteins. To determine N protein-specific antibody responses in the CSF and serum during RABV infection, we developed an enzyme-linked immunosorbent assay (ELISA) with purified recombinant N protein expressed in E. coli. N protein-specific immunoglobulin (Ig) subtypes IgG and IgM were detected in the CSF or serum of previously diagnosed human rabies cases. In addition, anti-N protein seroconversion was demonstrated over the course of illness in individual rabies cases. We compared the N protein ELISA results to those of an indirect fluorescent antibody (IFA) test, the current binding antibody assay used in diagnosis, and show that our ELISA is consistent with the IFA test. Sensitivity and specificity of the N protein ELISA ranged from 78.38-100% and 75.76-96.77% with respect to the IFA results. Our data provide evidence for the use of an N protein ELISA as an additional option for the detection of RABV-specific IgG or IgM antibodies in human CSF or serum specimens.
  • Subjects:
  • Source:
    PLoS One. 13(11).
  • Pubmed ID:
    30403742
  • Pubmed Central ID:
    PMC6221316
  • Document Type:
  • Volume:
    13
  • Issue:
    11
  • Collection(s):
  • Main Document Checksum:
    urn:sha256:7a605e2bb127be78302a5937cc7ce20485dffa2cc60c55fac6e03940cd44848c
  • Download URL:
  • File Type:
    Filetype[PDF - 2.39 MB ]
File Language:
English
ON THIS PAGE

CDC STACKS serves as an archival repository of CDC-published products including scientific findings, journal articles, guidelines, recommendations, or other public health information authored or co-authored by CDC or funded partners.

As a repository, CDC STACKS retains documents in their original published format to ensure public access to scientific information.