Novel Salmonella enterica Serovar Typhimurium Genotype Levels as Herald of Seasonal Salmonellosis Epidemics
Supporting Files
Public Domain
-
Jun 2018
-
File Language:
English
Details
-
Alternative Title:Emerg Infect Dis
-
Personal Author:
-
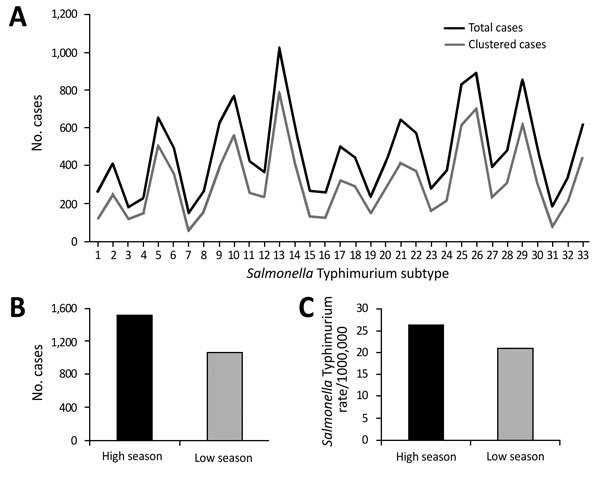
Description:We examined the population dynamics of Salmonella enterica serovar Typhimurium during seasonal salmonellosis epidemics in New South Wales, Australia, during 2009-2016. Of 15,626 isolates, 5%-20% consisted of novel genotypes. Seasons with salmonellosis epidemics were associated with a reduction in novel genotypes in the preceding winter and spring.
-
Subjects:
-
Source:Emerg Infect Dis. 24(6):1079-1082.
-
Pubmed ID:29774859
-
Pubmed Central ID:PMC6004855
-
Document Type:
-
Volume:24
-
Issue:6
-
Collection(s):
-
Main Document Checksum:urn:sha256:c2cb1b49bbee80705b1eb079775598cd256a52d42d8c054c754a52d2d3f93e47
-
Download URL:
-
File Type:
Supporting Files
File Language:
English
ON THIS PAGE
CDC STACKS serves as an archival repository of CDC-published products including
scientific findings,
journal articles, guidelines, recommendations, or other public health information authored or
co-authored by CDC or funded partners.
As a repository, CDC STACKS retains documents in their original published format to ensure public access to scientific information.
As a repository, CDC STACKS retains documents in their original published format to ensure public access to scientific information.
You May Also Like
COLLECTION
Emerging Infectious Diseases