Biomonitoring Human Exposure to Household Air Pollution and Association with Self-reported Health Symptoms – A Stove Intervention Study in Peru
Supporting Files
-
Sep 24 2016
-
File Language:
English
Details
-
Alternative Title:Environ Int
-
Personal Author:
-
Description:Background
Household air pollution (HAP) from indoor biomass stoves contains harmful pollutants, such as polycyclic aromatic hydrocarbons (PAHs), and is a leading risk factor for global disease burden. We used biomonitoring to assess HAP exposure and association with self-reported symptoms in 334 non-smoking Peruvian women to evaluate the efficacy of a stove intervention program.
Methods
We conducted a cross-sectional study within the framework of a community randomized control trial. Using urinary PAH metabolites (OH-PAHs) as the exposure biomarkers, we investigated whether the intervention group (n = 155, with new chimney-equipped stoves) were less exposed to HAP compared to the control group (n = 179, with mostly open-fire stoves). We also estimated associations between the exposure biomarkers, risk factors, and self-reported health symptoms, such as recent eye conditions, respiratory conditions, and headache.
Results
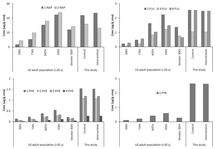
We observed reduced headache and ocular symptoms in the intervention group than the control group. Urinary 2-naphthol, a suggested biomarker for inhalation PAH exposure, was significantly lower in the intervention group (GM with 95% CI: 13.4 [12.3, 14.6] μg/g creatinine) compared to control group (16.5 [15.0, 18.0] μg/g creatinine). Stove type and/or 2-naphthol was associated with a number of self-reported symptoms, such as red eye (adjusted OR with 95% CI: 3.80 [1.32, 10.9]) in the past 48 h.
Conclusions
Even with the improved stoves, the biomarker concentrations in this study far exceeded those of the general populations and were higher than a no-observed-genotoxic-effect-level, indicating high exposure and a potential for increased cancer risk in the population.
-
Subjects:
-
Source:Environ Int. 97:195-203.
-
Pubmed ID:27680405
-
Pubmed Central ID:PMC5154792
-
Document Type:
-
Funding:
-
Volume:97
-
Collection(s):
-
Main Document Checksum:urn:sha256:026fbb730ea6eda0f0a622563a649a9737b2e620ffc75ffda464667a30293c90
-
Download URL:
-
File Type:
Supporting Files
File Language:
English
ON THIS PAGE
CDC STACKS serves as an archival repository of CDC-published products including
scientific findings,
journal articles, guidelines, recommendations, or other public health information authored or
co-authored by CDC or funded partners.
As a repository, CDC STACKS retains documents in their original published format to ensure public access to scientific information.
As a repository, CDC STACKS retains documents in their original published format to ensure public access to scientific information.
You May Also Like
COLLECTION
CDC Public Access