Geographic variation of reproductive health indicators and outcomes in the United States: place matters
Supporting Files
-
9 2014
File Language:
English
Details
-
Alternative Title:Am J Obstet Gynecol
-
Personal Author:
-
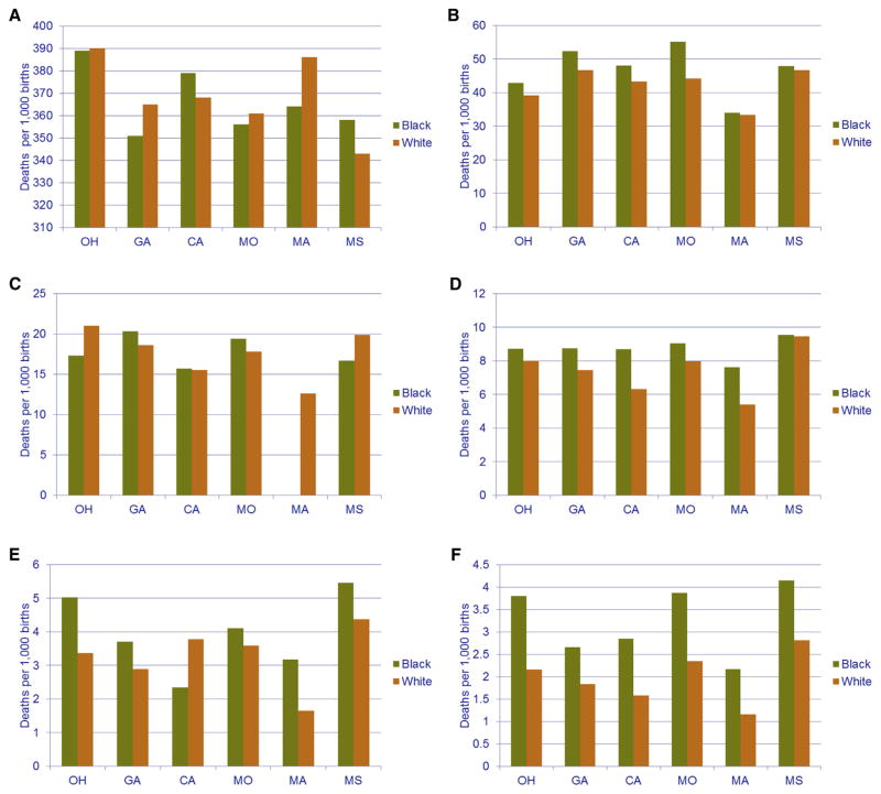
Description:The social determinants of health are the circumstances in which people are born, grow up, live, work, and age and the systems put in place to deal with illness. These circumstances, in turn, are shaped by a wider set of forces: economics, social policies, and politics. Reproductive health indicators and conditions that are germane to obstetricians and gynecologists vary across states and regions in the United States as well as within regions and states. The aim of this article is to illustrate this variation with the use of examples of gynecologic malignancies, sexually transmitted infections, teen birth rates, preterm birth rates, and infant mortality rates. Using the example of infant death, the difficulties in "unpacking" the construct of place will be discussed, and a special emphasis is placed on the interaction of race, place, and disparities in shaping perinatal outcomes. Finally, readily available and easy-to-use online data resources will be provided so that obstetricians and gynecologists will be able to assess geographic variation in health indicators and outcomes in their own localities.
-
Subjects:
-
Keywords:
-
Source:Am J Obstet Gynecol. 211(3):278-284
-
Pubmed ID:24956548
-
Pubmed Central ID:PMC4293630
-
Document Type:
-
Funding:
-
Volume:211
-
Issue:3
-
Collection(s):
-
Main Document Checksum:urn:sha256:4ea17a3a37bfbc8988e9ff75e562161cbdc6fdf2847022a7e1928ac7ab60cdb0
-
Download URL:
-
File Type:
Supporting Files
File Language:
English
ON THIS PAGE
CDC STACKS serves as an archival repository of CDC-published products including
scientific findings,
journal articles, guidelines, recommendations, or other public health information authored or
co-authored by CDC or funded partners.
As a repository, CDC STACKS retains documents in their original published format to ensure public access to scientific information.
As a repository, CDC STACKS retains documents in their original published format to ensure public access to scientific information.
You May Also Like
COLLECTION
CDC Public Access