Parasite-Derived MicroRNAs in Host Serum As Novel Biomarkers of Helminth Infection
Supporting Files
-
Feb 20 2014
-
Details
-
Alternative Title:PLoS Negl Trop Dis
-
Personal Author:
-
Description:Background
MicroRNAs (miRNAs) are a class of short non-coding RNA that play important roles in disease processes in animals and are present in a highly stable cell-free form in body fluids. Here, we examine the capacity of host and parasite miRNAs to serve as tissue or serum biomarkers of Schistosoma mansoni infection.
Methods/Principal Findings
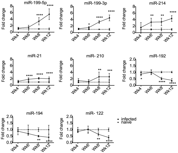
We used Exiqon miRNA microarrays to profile miRNA expression in the livers of mice infected with S. mansoni at 7 weeks post-infection. Thirty-three mouse miRNAs were differentially expressed in infected compared to naïve mice (>2 fold change, p<0.05) including miR-199a-3p, miR-199a-5p, miR-214 and miR-21, which have previously been associated with liver fibrosis in other settings. Five of the mouse miRNAs were also significantly elevated in serum by twelve weeks post-infection. Sequencing of small RNAs from serum confirmed the presence of these miRNAs and further revealed eleven parasite-derived miRNAs that were detectable by eight weeks post infection. Analysis of host and parasite miRNA abundance by qRT-PCR was extended to serum of patients from low and high infection sites in Zimbabwe and Uganda. The host-derived miRNAs failed to distinguish uninfected from infected individuals. However, analysis of three of the parasite-derived miRNAs (miR-277, miR-3479-3p and bantam) could detect infected individuals from low and high infection intensity sites with specificity/sensitivity values of 89%/80% and 80%/90%, respectively.
Conclusions
This work identifies parasite-derived miRNAs as novel markers of S. mansoni infection in both mice and humans, with the potential to be used with existing techniques to improve S. mansoni diagnosis. In contrast, although host miRNAs are differentially expressed in the liver during infection their abundance levels in serum are variable in human patients and may be useful in cases of extreme pathology but likely hold limited value for detecting prevalence of infection.
-
Subjects:
-
Source:PLoS Negl Trop Dis. 2014; 8(2).
-
Document Type:
-
Funding:
-
Volume:8
-
Issue:2
-
Collection(s):
-
Main Document Checksum:urn:sha256:357133a7bc21596165e3d004a60d374eac6252ae33c627744e44ed75e842b33d
-
Download URL:
-
File Type:
Supporting Files
ON THIS PAGE
CDC STACKS serves as an archival repository of CDC-published products including
scientific findings,
journal articles, guidelines, recommendations, or other public health information authored or
co-authored by CDC or funded partners.
As a repository, CDC STACKS retains documents in their original published format to ensure public access to scientific information.
As a repository, CDC STACKS retains documents in their original published format to ensure public access to scientific information.
You May Also Like
COLLECTION
CDC Public Access