Dolutegravir- Versus Efavirenz-Based Treatment in Pregnancy: Impact on Red Blood Cell Folate Concentrations in Pregnant Women and Their Infants
Supporting Files
-
6 15 2024
-
File Language:
English
Details
-
Alternative Title:J Infect Dis
-
Personal Author:Jacobson, Denise L.
;
Crider, Krista S.
;
DeMarrais, Patricia
;
Brummel, Sean
;
Zhang, Mindy
;
Pfeiffer, Christine M.
;
Moore, Cynthia A.
;
McCarthy, Katie
;
Johnston, Benjamin
;
Mohammed, Terence
;
Vhembo, Tichaona
;
Kabugho, Enid
;
Muzorah, Gerald Agaba
;
Cassim, Haseena
;
Fairlie, Lee
;
Machado, Elizabeth S.
;
Ngocho, James S.
;
Shapiro, Roger L.
;
Serghides, Lena
;
Chakhtoura, Nahida
;
Chinula, Lameck
;
Lockman, Shahin
;
Jacobson, Denise L.
;
Crider, Krista S.
;
DeMarrais, Patricia
;
Brummel, Sean
;
Zhang, Mindy
;
Pfeiffer, Christine M.
;
Moore, Cynthia A.
;
McCarthy, Katie
;
Johnston, Benjamin
;
Mohammed, Terence
;
Vhembo, Tichaona
;
Kabugho, Enid
;
Muzorah, Gerald Agaba
;
Cassim, Haseena
;
Fairlie, Lee
;
Machado, Elizabeth S.
;
Ngocho, James S.
;
Shapiro, Roger L.
;
Serghides, Lena
;
Chakhtoura, Nahida
;
Chinula, Lameck
;
Lockman, Shahin
-
Description:Background.
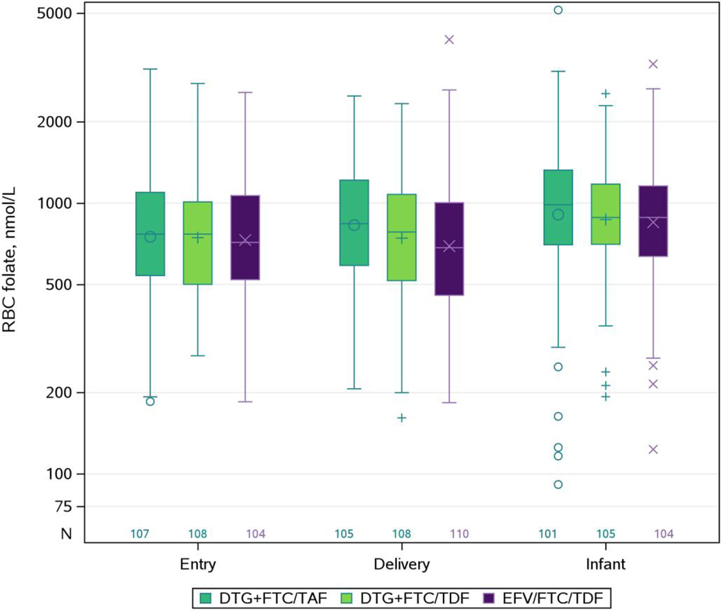
In the International Maternal Pediatric Adolescent AIDS Clinical Trials (IMPAACT) 2010/VESTED study, pregnant women were randomized to initiate dolutegravir (DTG) + emtricitabine (FTC)/tenofovir alafenamide (TAF), DTG + FTC/tenofovir disoproxil fumarate (TDF), or efavirenz (EFV)/FTC/TDF.
Methods.
We assessed red blood cell (RBC) folate concentrations at maternal study entry and delivery, and infant birth. RBC folate outcomes were (1) maternal change entry to delivery (trajectory), (2) infant, and (3) ratio of infant-to-maternal delivery. Generalized estimating equation models for each log(folate) outcome were fit to estimate adjusted geometric mean ratio (Adj-GMR)/GMR trajectories (Adj-GMRTs) of each arm comparison in 340 mothers and 310 infants.
Results.
Overall, 90% of mothers received folic acid supplements and 78% lived in Africa. At entry, median maternal age was 25 years, gestational age was 22 weeks, CD4 count was 482 cells/μL, and log10 HIV RNA was 3 copies/mL. Entry RBC folate was similar across arms. Adj-GMRT of maternal folate was 3% higher in the DTG + FTC/TAF versus EFV/FTC/TDF arm (1.03 [95% confidence interval {CI}, 1.00–1.06]). The DTG + FTC/TAF arm had an 8% lower infant-maternal folate ratio (0.92 [95% CI, .78–1.09]) versus EFV/FTC/TDF.
Conclusions.
Results are consistent, with no clinically meaningful differences between arms for all RBC folate outcomes, and they suggest that cellular uptake of folate and folate transport to the infant do not differ in pregnant women starting DTG- versus EFV-based antiretroviral therapy.
-
Subjects:
-
Keywords:
-
Source:J Infect Dis. 230(5):1224-1234 ; J Infect Dis. 230(5):1224-1234
-
Pubmed ID:38877762
-
Pubmed Central ID:PMC11565887
-
Document Type:
-
Funding:National Institute of Allergy and Infectious Diseases/ ; U01 AI069463/AI/NIAID NIH HHSUnited States/ ; MH/NIMH NIH HHSUnited States/ ; CC999999/ImCDC/Intramural CDC HHSUnited States/ ; UM1AI068632-15/GF/NIH HHSUnited States/ ; National Institute of Child Health and Human Development/ ; K24 AI131928/AI/NIAID NIH HHSUnited States/ ; U01 AI068632/AI/NIAID NIH HHSUnited States/ ; Eunice Kennedy Shriver/ ; UM1 AI069530/AI/NIAID NIH HHSUnited States/ ; UM1 AI069463/AI/NIAID NIH HHSUnited States/ ; UM1 AI068616/AI/NIAID NIH HHSUnited States/
-
Volume:230
-
Issue:5
-
Collection(s):
-
Main Document Checksum:urn:sha-512:53f8a0f18f7f1088ac9d9f1c40553ca8410395b4382dfa95f2773191adc3a9ec41786756664b061dbe4aa052476bd7c3f1fed6a197e01dbfc4e30534a7502d05
-
Download URL:
-
File Type:
Supporting Files
File Language:
English
ON THIS PAGE
CDC STACKS serves as an archival repository of CDC-published products including
scientific findings,
journal articles, guidelines, recommendations, or other public health information authored or
co-authored by CDC or funded partners.
As a repository, CDC STACKS retains documents in their original published format to ensure public access to scientific information.
As a repository, CDC STACKS retains documents in their original published format to ensure public access to scientific information.
You May Also Like
COLLECTION
CDC Public Access