Trends for Influenza-related Deaths during Pandemic and Epidemic Seasons, Italy, 1969–2001
Supporting Files
Public Domain
-
May 2007
-
File Language:
English
Details
-
Alternative Title:Emerg Infect Dis
-
Personal Author:
-
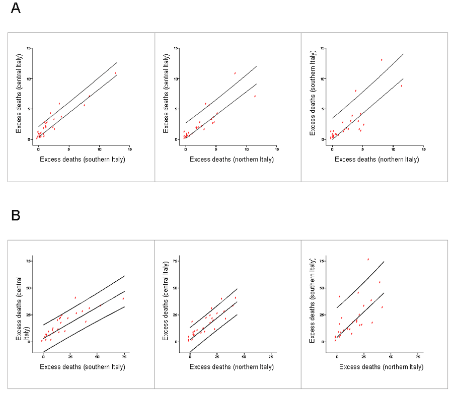
Description:Age-specific patterns of death from influenza vary, depending on whether the influenza season is epidemic or pandemic. We assessed age patterns and geographic trends in monthly influenza-related deaths in Italy from 1969 through 2001, focusing on differences between epidemic and pandemic seasons. We evaluated age-standardized excess deaths from pneumonia and influenza and from all causes, using a modified version of a cyclical Serfling model. Excess deaths were highest for elderly persons in all seasons except the influenza A (H3N2) pandemic season (1969-70), when rates were greater for younger persons, confirming a shift toward death of younger persons during pandemic seasons. When comparing northern, central, and southern Italy, we found a high level of synchrony in the amplitude of peaks of influenza-related deaths.
-
Subjects:
-
Source:Emerg Infect Dis. 13(5):694-699.
-
Document Type:
-
Place as Subject:
-
Volume:13
-
Issue:5
-
Collection(s):
-
Main Document Checksum:urn:sha256:43d64215366577a29c6ecd753c0dd12cef2dfc87e92dcd50968e137afecc1573
-
Download URL:
-
File Type:
Supporting Files
File Language:
English
ON THIS PAGE
CDC STACKS serves as an archival repository of CDC-published products including
scientific findings,
journal articles, guidelines, recommendations, or other public health information authored or
co-authored by CDC or funded partners.
As a repository, CDC STACKS retains documents in their original published format to ensure public access to scientific information.
As a repository, CDC STACKS retains documents in their original published format to ensure public access to scientific information.
You May Also Like
COLLECTION
Emerging Infectious Diseases