U.S. flag An official website of the United States government.
Official websites use .gov

A .gov website belongs to an official government organization in the United States.

Secure .gov websites use HTTPS

A lock ( ) or https:// means you've safely connected to the .gov website. Share sensitive information only on official, secure websites.

i

Racial, ethnic, and neighborhood socioeconomic disparities in local cannabis retail policy in California

Supporting Files
File Language:
English


Details

  • Alternative Title:
    Int J Drug Policy
  • Personal Author:
  • Description:
    Background:

    Policies governing legal cannabis commerce can vary widely within a U.S. state when local control exists. Disproportionate distribution of policies allowing retail sale, protecting public health, or promoting equity in licensing may contribute to differences in health and economic outcomes between sociodemographic subgroups. This cross-sectional study jointly examined racial, ethnic, and neighborhood socioeconomic characteristics of Californians subject to specific local cannabis policies to identify such disparities.

    Methods:

    Local laws in effect January 1, 2020, governing retail cannabis sales (bans, expanding buffers from youth-serving sites, restricting advertising, promoting equity in licensing, and capping outlets) were determined for California’s 539 jurisdictions. The number of Asian, Black, Latinx, and white residents in socioeconomic advantaged versus disadvantaged neighborhoods (Census block groups) was determined using 2015–2019 American Community Survey data. We estimated proportions of the sociodemographic subpopulations covered by specific policies based on the block group’s jurisdiction. To ascertain disparities in coverage proportions were compared across subgroups using Z-tests with the Bonferroni correction.

    Results:

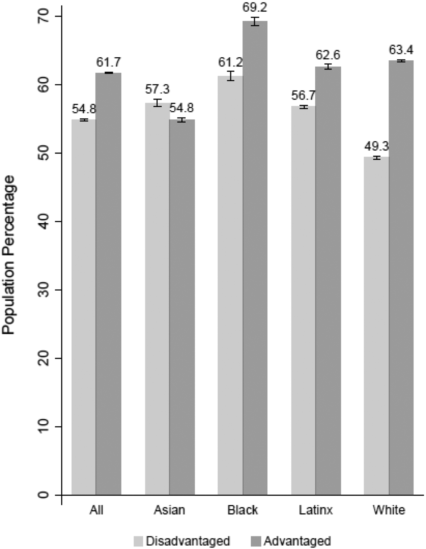
    Residents of socioeconomically advantaged neighborhoods were more likely to live in jurisdictions allowing retail cannabis commerce than those in disadvantaged neighborhoods (61.7% versus 54.8%). Black residents in advantaged neighborhoods were most likely to live where retailing was allowed (69%), and white residents in disadvantaged neighborhoods least likely (49%). Latinx and Black populations from disadvantaged neighborhoods were most likely to live in jurisdictions with stronger advertising restrictions (66%). Equity in licensing policy was more prevalent for Black residents living in advantaged neighborhoods (57%) than disadvantaged neighborhoods (49%).

    Conclusions:

    Local cannabis policies potentially protecting public health and social equity are unequally distributed across race, ethnicity, and socioeconomic characteristics in California. Research examining whether differential policy exposure reduces, creates, or perpetuates cannabis-related health and socioeconomic disparities is needed.

  • Subjects:
  • Keywords:
  • Source:
    Int J Drug Policy. 131:104542
  • Pubmed ID:
    39096805
  • Pubmed Central ID:
    PMC11392602
  • Document Type:
  • Funding:
  • Volume:
    131
  • Collection(s):
  • Main Document Checksum:
    urn:sha-512:e604c6c092fc8aeab1115f79cf2804a743782add59c5b6a05c6bdad9c0218aadca3d19508eb81e3848b8ad34745492d77c24ebc1ba1bf28fe770033847db34f4
  • Download URL:
  • File Type:
    Filetype[PDF - 663.13 KB ]
File Language:
English
ON THIS PAGE

CDC STACKS serves as an archival repository of CDC-published products including scientific findings, journal articles, guidelines, recommendations, or other public health information authored or co-authored by CDC or funded partners.

As a repository, CDC STACKS retains documents in their original published format to ensure public access to scientific information.