Fecal Viral Load and Norovirus-associated Gastroenteritis
Supporting Files
Public Domain
-
Aug 2006
-
Details
-
Alternative Title:Emerg Infect Dis
-
Personal Author:
-
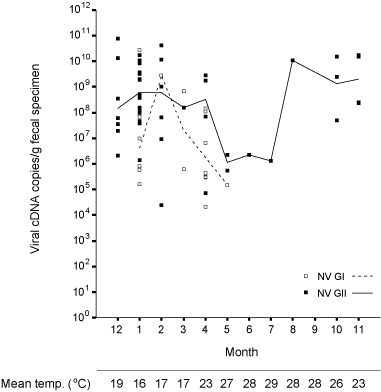
Description:We report the median cDNA viral load of norovirus genogroup II is >100-fold higher than that of genogroup I in the fecal specimens of patients with norovirus-associated gastroenteritis. We speculate that increased cDNA viral load accounts for the higher transmissibility of genogroup II strains through the fecal-oral route.
-
Subjects:
-
Source:Emerg Infect Dis. 12(8):1278-1280.
-
Document Type:
-
Volume:12
-
Issue:8
-
Collection(s):
-
Main Document Checksum:urn:sha256:9240af0b23fe98e67afb662ff5bba549d32ffde27bd4e1643753319d50b57af8
-
Download URL:
-
File Type:
Supporting Files
ON THIS PAGE
CDC STACKS serves as an archival repository of CDC-published products including
scientific findings,
journal articles, guidelines, recommendations, or other public health information authored or
co-authored by CDC or funded partners.
As a repository, CDC STACKS retains documents in their original published format to ensure public access to scientific information.
As a repository, CDC STACKS retains documents in their original published format to ensure public access to scientific information.
You May Also Like
COLLECTION
Emerging Infectious Diseases