Potential impact of curative and preventive interventions toward hepatitis C elimination in people who inject drugs – a network modeling study
Supporting Files
-
8 2024
-
File Language:
English
Details
-
Alternative Title:Int J Drug Policy
-
Personal Author:Zhu, Lin ; Thompson, William W. ; Hagan, Liesl ; Randall, Liisa M. ; Rudolph, Abby E. ; Young, April M. ; Havens, Jennifer R. ; Salomon, Joshua A. ; Linas, Benjamin P. ; Zhu, Lin ; Thompson, William W. ; Hagan, Liesl ; Randall, Liisa M. ; Rudolph, Abby E. ; Young, April M. ; Havens, Jennifer R. ; Salomon, Joshua A. ; Linas, Benjamin P.
-
Description:Background
Injection-equipment-sharing networks play an important role in hepatitis C virus (HCV) transmission among people who inject drugs (PWID). Direct-acting antiviral (DAA) treatments for HCV infection and interventions to prevent HCV transmission are critical components of an overall hepatitis C elimination strategy, but how they contribute to the elimination outcomes in different PWID network settings are unclear.
Methods
We developed an agent-based network model of HCV transmission through the sharing of injection equipment among PWID and parameterized and calibrated the model with rural PWID data in the United States. We modeled curative and preventive interventions at annual coverage levels of 12.5%, 25%, or 37.5% (cumulative % of eligible engaged), and two allocation approaches: random vs targeting PWID with more injection partners (hereafter ‘degree-based’). We compared the impact of these intervention strategies on prevalence and incidence of HCV infections. We conducted sensitivity analysis on key parameters governing the effects of curative and preventive interventions and PWID network characteristics.
Results
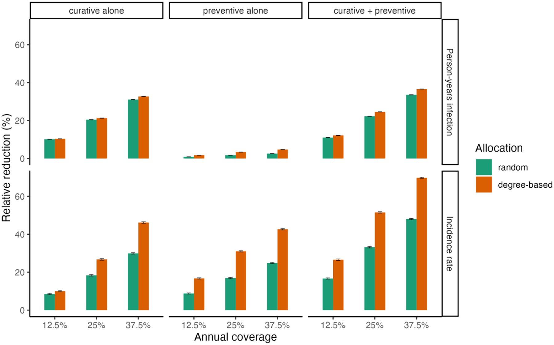
Combining curative and preventive interventions at 37.5% annual coverage with degree-based allocation decreased prevalence and incidence of HCV infection by 67% and 70% over two years, respectively. Curative interventions decreased prevalence by six to 12 times more than preventive interventions, while curative and preventive interventions had comparable effectiveness on reducing incidence. Intervention impact increased with coverage almost linearly across all intervention strategies, and degree-based allocation was always more effective than random allocation, especially for preventive interventions. Results were sensitive to parameter values defining intervention effects and network mean degree.
Conclusion
DAA treatments are effective in reducing both prevalence and incidence of HCV infection in PWID, but preventive interventions play a significant role in reducing incidence when intervention coverage is low. Increasing coverage, including efforts in reaching individuals with the most injection partners, preventing reinfection, and improving compliance and retention in preventive services can substantially improve the outcomes. PWID network characteristics should be considered when designing hepatitis C elimination programs.
-
Subjects:
-
Keywords:
-
Source:Int J Drug Policy. 130:104539 ; Int J Drug Policy. 130:104539
-
Pubmed ID:39033645
-
Pubmed Central ID:PMC11347083
-
Document Type:
-
Funding:
-
Volume:130
-
Collection(s):
-
Main Document Checksum:urn:sha-512:4d924d88adcf77116dae6f887c4f5976c9181fa80c2d7b9278db443d69b487b0cba0d5bdbc6db39395d789f8516389e4c6877f29a52246a6aa7c6ea567706d1a
-
Download URL:
-
File Type:
Supporting Files
File Language:
English
ON THIS PAGE
CDC STACKS serves as an archival repository of CDC-published products including
scientific findings,
journal articles, guidelines, recommendations, or other public health information authored or
co-authored by CDC or funded partners.
As a repository, CDC STACKS retains documents in their original published format to ensure public access to scientific information.
As a repository, CDC STACKS retains documents in their original published format to ensure public access to scientific information.
You May Also Like
COLLECTION
CDC Public Access