Tissue replication and mucosal swab detection of Sosuga virus in Syrian hamsters in the absence of overt tissue pathology and clinical disease
Supporting Files
-
1 2023
-
File Language:
English
Details
-
Alternative Title:Antiviral Res
-
Personal Author:Welch, Stephen R. ; Ritter, Jana M. ; Schuh, Amy J. ; Genzer, Sarah C. ; Sorvillo, Teresa E. ; Harmon, Jessica R. ; Coleman-McCray, JoAnn D. ; Jain, Shilpi ; Shrivastava-Ranjan, Punya ; Seixas, Josilene Nascimento ; Estetter, Lindsey B. ; Fair, Pamela S. ; Towner, Jonathan S. ; Montgomery, Joel M. ; Albariño, César G. ; Spiropoulou, Christina F. ; Spengler, Jessica R.
-
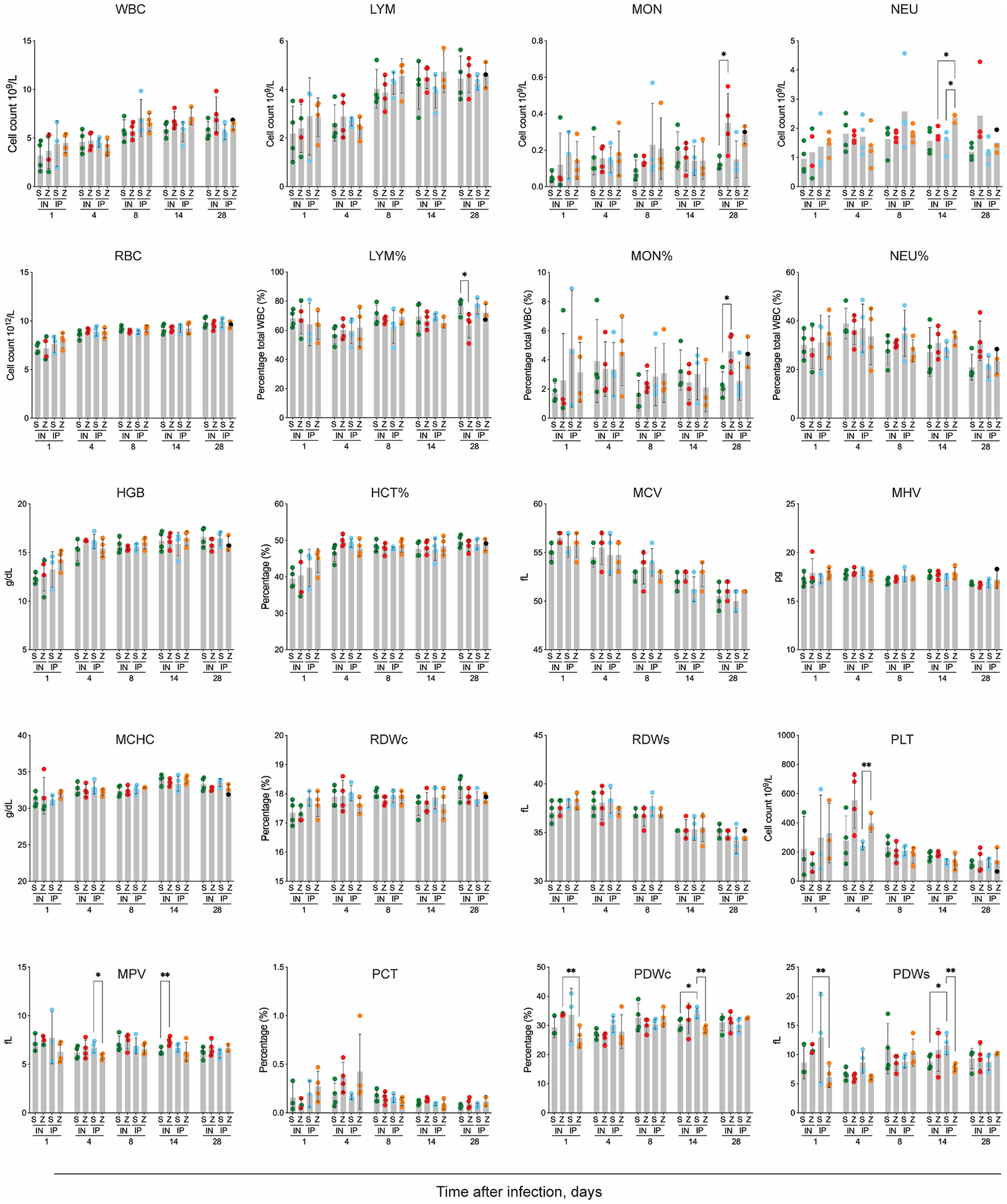
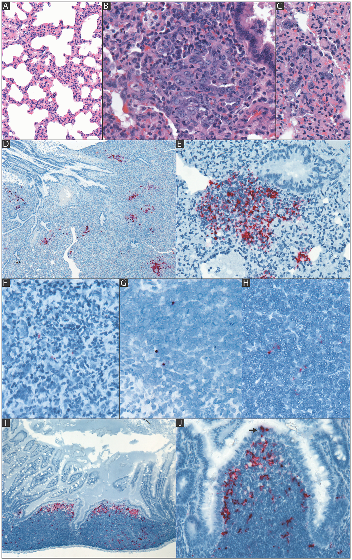
Description:Human infection with Sosuga virus (SOSV), a recently discovered pathogenic paramyxovirus, has been reported in one individual to date. No animal models of disease are currently available for SOSV. Here, we describe initial characterization of experimental infection in Syrian hamsters, including kinetics of virus dissemination and replication, and the corresponding clinical parameters, immunological responses, and histopathology. We demonstrate susceptibility of hamsters to infection in the absence of clinical signs or significant histopathologic findings in tissues.
-
Subjects:
-
Keywords:
-
Source:Antiviral Res. 209:105490
-
Pubmed ID:36521633
-
Pubmed Central ID:PMC10999129
-
Document Type:
-
Funding:
-
Volume:209
-
Collection(s):
-
Main Document Checksum:urn:sha256:0e77f0466b8131bb86405a8b4ee99f07ad26621a579e81b0b1f16f235746240c
-
Download URL:
-
File Type:
Supporting Files
File Language:
English
ON THIS PAGE
CDC STACKS serves as an archival repository of CDC-published products including
scientific findings,
journal articles, guidelines, recommendations, or other public health information authored or
co-authored by CDC or funded partners.
As a repository, CDC STACKS retains documents in their original published format to ensure public access to scientific information.
As a repository, CDC STACKS retains documents in their original published format to ensure public access to scientific information.
You May Also Like
COLLECTION
CDC Public Access