U.S. flag An official website of the United States government.
Official websites use .gov

A .gov website belongs to an official government organization in the United States.

Secure .gov websites use HTTPS

A lock ( ) or https:// means you've safely connected to the .gov website. Share sensitive information only on official, secure websites.

i

Can Machine Learning Help Identify Patients at Risk for Recurrent Sexually Transmitted Infections?

Supporting Files
File Language:
English


Details

  • Alternative Title:
    Sex Transm Dis
  • Personal Author:
  • Description:
    Background:

    A substantial fraction of sexually transmitted infections (STIs) occur in patients who have previously been treated for an STI. We assessed whether routine electronic health record (EHR) data can predict which patients presenting with an incident STI are at greatest risk for additional STIs in the next 1 to 2 years.

    Methods:

    We used structured EHR data on patients 15 years or older who acquired an incident STI diagnosis in 2008 to 2015 in eastern Massachusetts. We applied machine learning algorithms to model risk of acquiring ≥1 or ≥2 additional STIs diagnoses within 365 or 730 days after the initial diagnosis using more than 180 different EHR variables. We performed sensitivity analysis incorporating state health department surveillance data to assess whether improving the accuracy of identifying STI cases improved algorithm performance.

    Results:

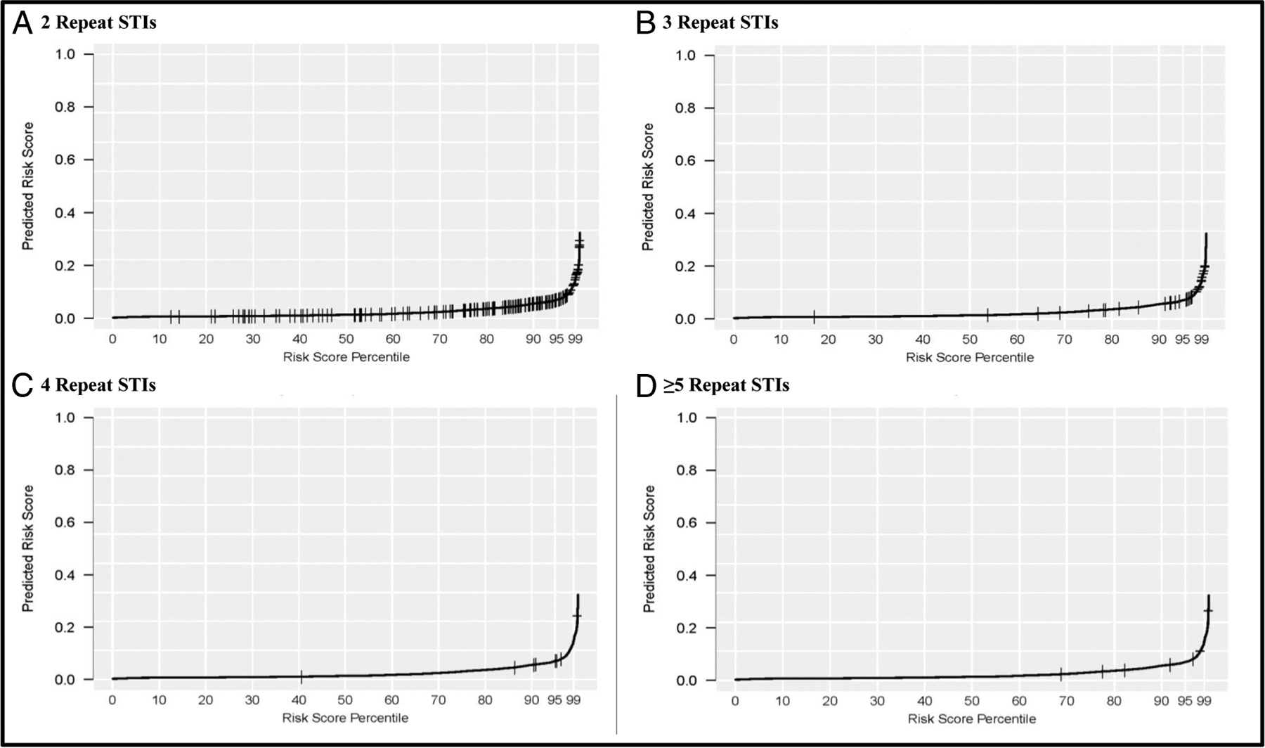
    We identified 8723 incident episodes of laboratory-confirmed gonorrhea, chlamydia, or syphilis. Bayesian Additive Regression Trees, the best-performing algorithm of any single method, had a cross-validated area under the receiver operating curve of 0.75. Receiver operating curves for this algorithm showed a poor balance between sensitivity and positive predictive value (PPV). A predictive probability threshold with a sensitivity of 91.5% had a corresponding PPV of 3.9%. A higher threshold with a PPV of 29.5% had a sensitivity of 11.7%. Attempting to improve the classification of patients with and without repeat STIs diagnoses by incorporating health department surveillance data had minimal impact on cross-validated area under the receiver operating curve.

    Conclusions:

    Machine algorithms using structured EHR data did not differentiate well between patients with and without repeat STIs diagnosis. Alternative strategies, able to account for sociobehavioral characteristics, could be explored.

  • Subjects:
  • Source:
    Sex Transm Dis. 48(1):56-62
  • Pubmed ID:
    32810028
  • Pubmed Central ID:
    PMC10949112
  • Document Type:
  • Funding:
  • Volume:
    48
  • Issue:
    1
  • Collection(s):
  • Main Document Checksum:
    urn:sha256:bd02bd4b1b472ce4938d42840b053a81196f9cef0f7b6619b90e14b4693a5aee
  • Download URL:
  • File Type:
    Filetype[PDF - 502.54 KB ]
File Language:
English
ON THIS PAGE

CDC STACKS serves as an archival repository of CDC-published products including scientific findings, journal articles, guidelines, recommendations, or other public health information authored or co-authored by CDC or funded partners.

As a repository, CDC STACKS retains documents in their original published format to ensure public access to scientific information.