U.S. flag An official website of the United States government.
Official websites use .gov

A .gov website belongs to an official government organization in the United States.

Secure .gov websites use HTTPS

A lock ( ) or https:// means you've safely connected to the .gov website. Share sensitive information only on official, secure websites.

i

Benchtop x-ray fluorescence to quantify elemental content in nails non-destructively

Supporting Files
File Language:
English


Details

  • Alternative Title:
    Sci Total Environ
  • Personal Author:
  • Description:
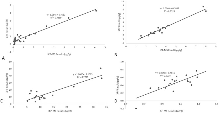
    Metals continue to impose health issues among world populations. A non-invasive alternative biomarker for assessment of metals and other elements has been explored in other studies using toenail samples. Some benefits of using toenails as biomarkers over blood samples include cost efficiency, ease of collection, and a longer biological half-life within samples. The objective of this study was to employ desktop XRF for the purpose of measuring metal concentrations in human nail samples, thus conducting a non-destructive assessment. These benefits paired with comparable accuracy in exposure detection could prove toenail samples to be a preferred biomarker for many studies. Current elemental quantification techniques in toenail samples could be improved. The standard practice for measuring metal exposure in toenails, inductively coupled plasma mass spectrometry (ICP-MS), has a counterpart in x-ray fluorescence. While maintaining similar quantification capabilities, x-ray fluorescence could provide decreased cost, preservation of samples, and ease of operation. Portable XRF machines have been tested for measuring toenail samples, but they have drastically increased detection limits in comparison to ICP-MS. New benchtop XRF systems should give comparable detection limits to ICP-MS. This study compares the benchtop XRF measurements of lead (Pb), copper (Cu), iron (Fe), and Selenium (Se) levels to that of ICP-MS measurements of toenail samples and calculates estimated detection limits for 23 other elements. We found strong correlations for the toenail lead (R| = 0.92), copper (R| = 0.95), selenium (R| = 0.60), and iron (R| = 0.77) comparison between desktop XRF and ICP-MS measurements. Median minimum detection limits over the 23 elements were found to be 0.2 μg/g using a 7.5-min measurement. Benchtop XRF provides a lower detection limit than previously studied portable XRF machines, which gives it the capability of accurately detecting almost any desired element in nail samples. Benchtop XRF provides a non-destructive alternative to ICP-MS in surveillance of nail samples.
  • Subjects:
  • Source:
    Sci Total Environ. 918:170601
  • Pubmed ID:
    38309346
  • Pubmed Central ID:
    PMC10923075
  • Document Type:
  • Funding:
  • Volume:
    918
  • Collection(s):
  • Main Document Checksum:
    urn:sha-512:3f7562ff040838e5c494b4a3ecb81f67735e69103feec4ae9ea167571fbe61e8a1e8f340ceee9107a0b2c35ca6595b4b3754bef0acbbcc46058da8067fe50149
  • Download URL:
  • File Type:
    Filetype[PDF - 190.92 KB ]
File Language:
English
ON THIS PAGE

CDC STACKS serves as an archival repository of CDC-published products including scientific findings, journal articles, guidelines, recommendations, or other public health information authored or co-authored by CDC or funded partners.

As a repository, CDC STACKS retains documents in their original published format to ensure public access to scientific information.