A platelet RNA biomarker of ticagrelor responsive genes is associated with platelet function and cardiovascular events
Supporting Files
-
2 2024
-
File Language:
English
Details
-
Alternative Title:Arterioscler Thromb Vasc Biol
-
Personal Author:
-
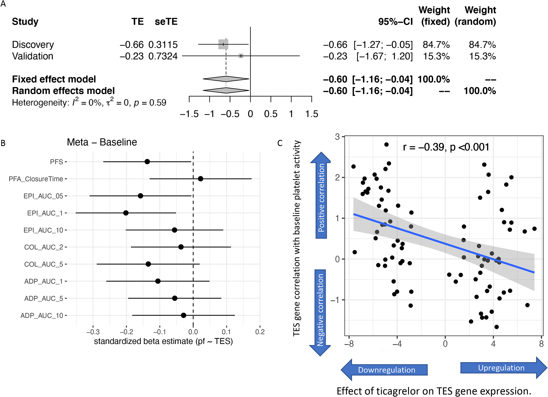
Description:Background:
Identifying patients with the optimal risk:benefit for ticagrelor is challenging. The aim was to identify ticagrelor-responsive platelet transcripts as biomarkers of platelet function and cardiovascular risk.
Methods:
Healthy volunteers (n=58, discovery; n=49, validation) were exposed to 4-weeks of ticagrelor with platelet RNA data, platelet function, and self-reported bleeding measured pre/post ticagrelor. RNA sequencing was used to discover platelet genes affected by ticagrelor and a subset of the most informative were summarized into a composite score and tested for validation. This score was further analyzed (1) in CD34+ megakaryocytes exposed to an P2Y12 inhibitor in vitro, (2) with baseline platelet function in healthy controls, (3) in peripheral artery disease patients (n=139) vs. patient controls (n=30) without atherosclerosis and (4) in peripheral artery disease patients for correlation with atherosclerosis severity and risk of incident major adverse cardiovascular and limb events.
Results:
Ticagrelor exposure differentially expressed 3409 platelet transcripts. Of these, 111 were prioritized to calculate a Ticagrelor Exposure Signature score which ticagrelor reproducibly increased in discovery and validation cohorts. Ticagrelor’s effects on platelets transcripts positively correlated with effects of P2Y12 inhibition in primary megakaryocytes. In healthy controls, higher baseline scores correlated with lower baseline platelet function and with minor bleeding while receiving ticagrelor. In patients, lower scores independently associated with both the presence and extent of atherosclerosis and incident ischemic events.
Conclusions:
Ticagrelor responsive platelet transcripts are a biomarker for platelet function and cardiovascular risk and may have clinical utility for selecting patients with optimal risk:benefit for ticagrelor use.
-
Keywords:
-
Source:Arterioscler Thromb Vasc Biol. 44(2):423-434
-
Pubmed ID:38059352
-
Pubmed Central ID:PMC10843550
-
Document Type:
-
Funding:UL1 TR001445/TR/NCATS NIH HHSUnited States/ ; R35 HL144993/HL/NHLBI NIH HHSUnited States/ ; R01 HL118049/HL/NHLBI NIH HHSUnited States/ ; P30 CA016087/CA/NCI NIH HHSUnited States/ ; R01 HL114978/HL/NHLBI NIH HHSUnited States/ ; U01 DD000014/DD/NCBDD CDC HHSUnited States/ ; RC1 GM091083/GM/NIGMS NIH HHSUnited States/ ; UL1 RR024128/RR/NCRR NIH HHSUnited States/
-
Volume:44
-
Issue:2
-
Collection(s):
-
Main Document Checksum:urn:sha-512:b17f66b79a841afbb39f4895b63122f0e9418f094b0e45aec2004460311a3f6708c6b595471b241f0ad5c392694ac0377f267ca238f71d02074baf09666c8fc3
-
Download URL:
-
File Type:
Supporting Files
File Language:
English
ON THIS PAGE
CDC STACKS serves as an archival repository of CDC-published products including
scientific findings,
journal articles, guidelines, recommendations, or other public health information authored or
co-authored by CDC or funded partners.
As a repository, CDC STACKS retains documents in their original published format to ensure public access to scientific information.
As a repository, CDC STACKS retains documents in their original published format to ensure public access to scientific information.
You May Also Like
COLLECTION
CDC Public Access