Developmental trajectories of behavioral inhibition from infancy to age seven: The role of genetic and environmental risk for psychopathology
Supporting Files
-
2023
-
File Language:
English
Details
-
Alternative Title:Child Dev
-
Personal Author:
-
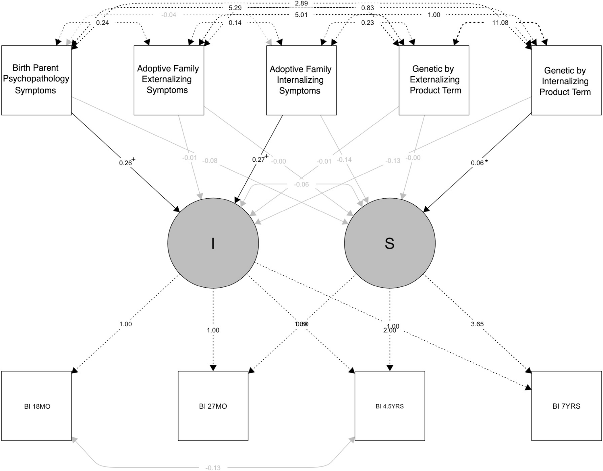
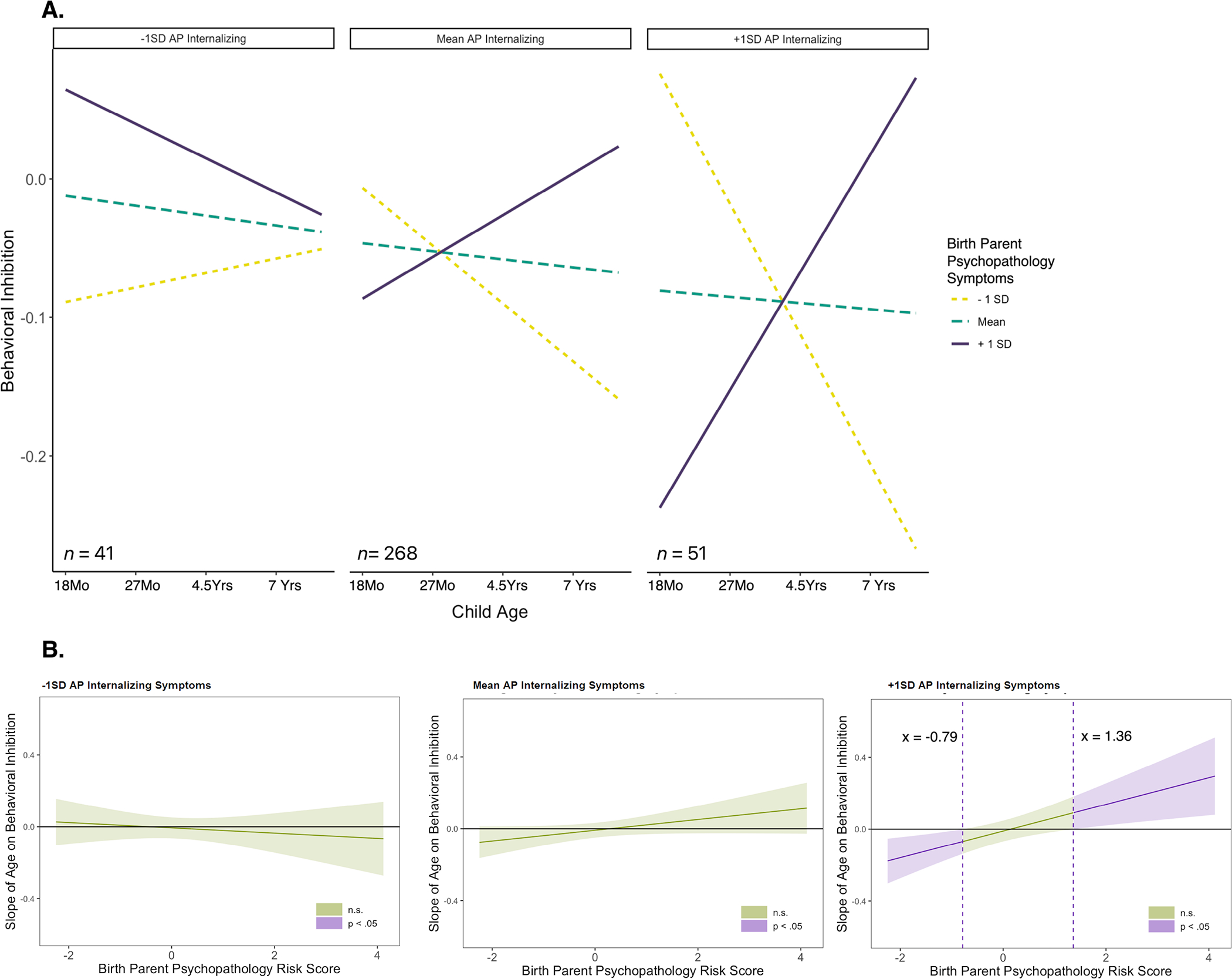
Description:The present study leveraged data from a longitudinal adoption study of 361 families recruited between 2003 and 2010 in the United States. We investigated how psychopathology symptoms in birth parents (BP; M| = 24.1 years; 50.5-62.9% completed high school) and adoptive parents (AP; M| = 37.8 years; 80.9% completed college; 94% mother-father couples) influenced children's behavioral inhibition (BI) trajectories. We used latent growth models of observed BI at 18 and 27 months, and 4.5 and 7 years in a sample of adopted children (Female = 42%, White = 57%, Black = 11%, Multi-racial = 21%, Latinx = 9%). BI generally decreased over time, yet there was substantial variability in these trajectories. Neither BP nor AP psychopathology symptoms independently predicted systematic differences in BI trajectories. Instead, we found that AP internalizing symptoms moderated the effects of BP psychopathology on trajectories of BI, indicating a gene by environment interaction.
-
Subjects:
-
Source:Child Dev. 94(4):e231-e245
-
Pubmed ID:37017208
-
Pubmed Central ID:PMC10332342
-
Document Type:
-
Funding:R01 HD042608/HD/NICHD NIH HHSUnited States/ ; R01 DA020585/DA/NIDA NIH HHSUnited States/ ; UH3 OD023389/OD/NIH HHSUnited States/ ; R01 MH092118/MH/NIMH NIH HHSUnited States/ ; F99NS120411/NS/NINDS NIH HHSUnited States/ ; K00 MH135485/MH/NIMH NIH HHSUnited States/ ; UH3 OD023389/CD/ODCDC CDC HHSUnited States/ ; R01 DA045108/DA/NIDA NIH HHSUnited States/ ; R01 MH094633/MH/NIMH NIH HHSUnited States/ ; F99 NS120411/NS/NINDS NIH HHSUnited States/ ; R01DA020585/MH/NIMH NIH HHSUnited States/
-
Volume:94
-
Issue:4
-
Collection(s):
-
Main Document Checksum:urn:sha256:37df58a419a3d60702b425062a3a9c873ac05844fce59ca0d83502c9a4b193e6
-
Download URL:
-
File Type:
Supporting Files
File Language:
English
ON THIS PAGE
CDC STACKS serves as an archival repository of CDC-published products including
scientific findings,
journal articles, guidelines, recommendations, or other public health information authored or
co-authored by CDC or funded partners.
As a repository, CDC STACKS retains documents in their original published format to ensure public access to scientific information.
As a repository, CDC STACKS retains documents in their original published format to ensure public access to scientific information.
You May Also Like
COLLECTION
CDC Public Access