U.S. flag An official website of the United States government.
Official websites use .gov

A .gov website belongs to an official government organization in the United States.

Secure .gov websites use HTTPS

A lock ( ) or https:// means you've safely connected to the .gov website. Share sensitive information only on official, secure websites.

i

Situational Factors that Influence Overreaching on a Ladder during a Gutter Clearing Task among Older Adults

Supporting Files
File Language:
English


Details

  • Alternative Title:
    Appl Ergon
  • Personal Author:
  • Description:
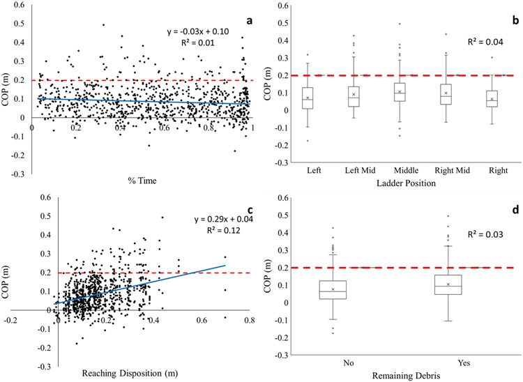
    Ladder falls from overreaching are a problem in older adults. Evidence suggests ladder use behavior to be dependent on interfacing user and environmental circumstances (i.e. situational factors). This study investigates the effects of situational factors (remaining debris, ladder position, time into task, hand dominant reach, reaching disposition) on reaching during a gutter clearing task on a ladder in 104 older adults. Reaching was quantified as the maximum lateral center of pressure (COP) displacement from the ladder's center. A reach was classified as an overreach when the COP displaced outside the ladder width, indicative of a ladder tip. Reaching disposition, remaining debris, ladder position, and the interaction of reaching disposition and remaining debris predicted 20% of the reaching variability during the ladder task. Overreaching was observed in 40% of participants accounting for 13% of all extended reaches (beyond ladder). This work can guide interventions on mitigating overreaching and improving ladder safety.
  • Keywords:
  • Source:
    Appl Ergon. 104:103794
  • Pubmed ID:
    35653835
  • Pubmed Central ID:
    PMC10041861
  • Document Type:
  • Funding:
  • Volume:
    104
  • Collection(s):
  • Main Document Checksum:
    urn:sha256:57aeaf9fea75debd90d20263e3b543046fb468c495a0c08d279b63ec0e715d70
  • Download URL:
  • File Type:
    Filetype[PDF - 1.32 MB ]
File Language:
English
ON THIS PAGE

CDC STACKS serves as an archival repository of CDC-published products including scientific findings, journal articles, guidelines, recommendations, or other public health information authored or co-authored by CDC or funded partners.

As a repository, CDC STACKS retains documents in their original published format to ensure public access to scientific information.