U.S. flag An official website of the United States government.
Official websites use .gov

A .gov website belongs to an official government organization in the United States.

Secure .gov websites use HTTPS

A lock ( ) or https:// means you've safely connected to the .gov website. Share sensitive information only on official, secure websites.

i

Mental Health among LGBTQ Cannabis Users During the COVID-19 Pandemic: Analysis of the COVID-19 Cannabis Health Study

Supporting Files
File Language:
English


Details

  • Alternative Title:
    Psychol Sex Orientat Gend Divers
  • Personal Author:
  • Description:
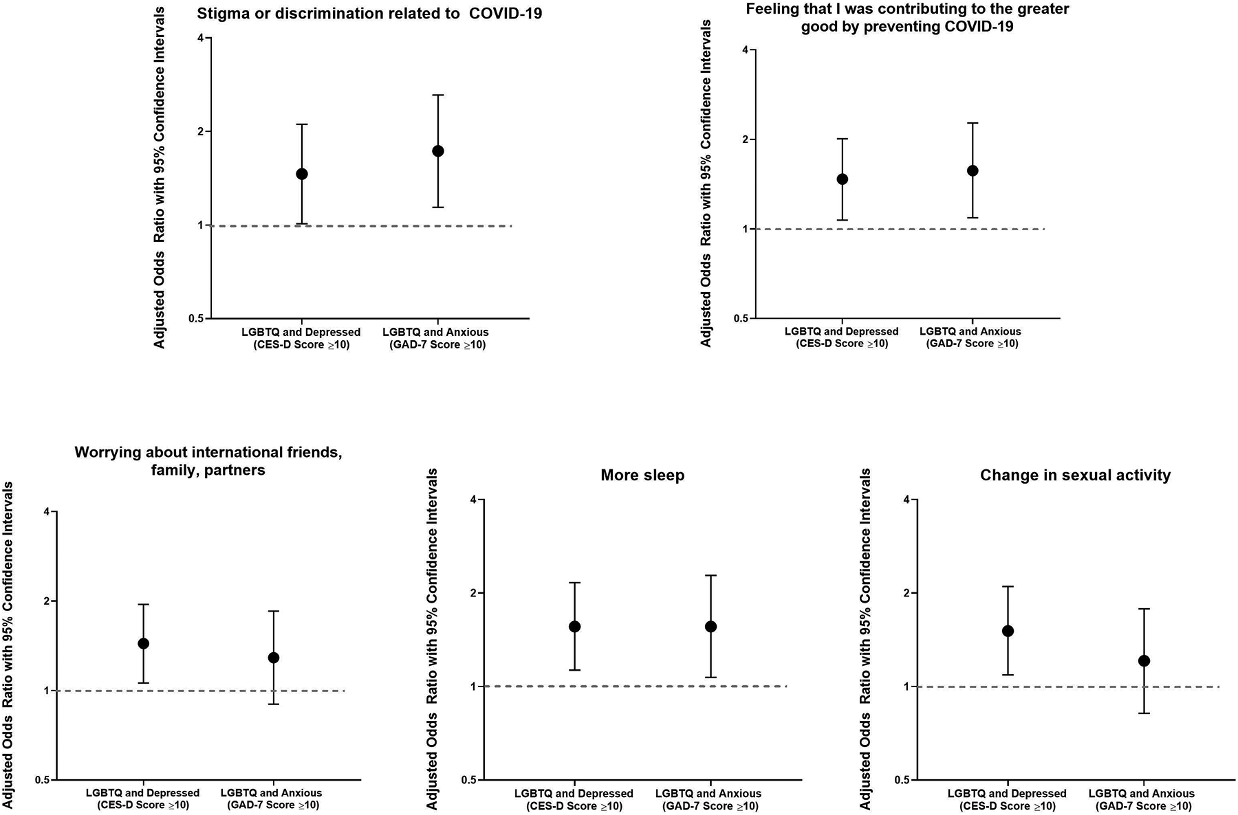
    The purpose of this study is to compare the responses of LGBTQ cannabis consumers and their non-LGBTQ counterparts on anxiety, depression, substance use, and COVID-19 coping and stress during the pandemic. Data from an internet-survey of cannabis users during the COVID-19 pandemic were analyzed (| = 2,319). Approximately 18% of the sample identified as LGBTQ. Bivariate analyses were used to examine the relationship between LGBTQ identity and symptoms of anxiety and depression, substance use, and pandemic-related coping strategies and stressors. Logistic regression models were used to evaluate the association between pandemic stressors and coping strategies with LGBTQ identity, while adjusting for sex, age, and race and ethnicity. Differences in the proportion of medicinal cannabis use among LGBTQ respondents (74.6%) and non-LGBTQ respondents (75.3%) were insignificant. LGBTQ cannabis users were more likely to report COVID-19 related stressors and coping behaviors, including increased alcohol use. After adjustment for covariates, LGBTQ cannabis users were more likely to report symptoms of depression and anxiety than non-LGBTQ cannabis users. These results show that compared to their cisgender heterosexual counterparts, LGBTQ cannabis users are experiencing more problematic mental health outcomes during the COVID-19 pandemic.
  • Subjects:
  • Source:
    Psychol Sex Orientat Gend Divers. 8(2):172-179
  • Pubmed ID:
    36714198
  • Pubmed Central ID:
    PMC9880987
  • Document Type:
  • Funding:
  • Volume:
    8
  • Issue:
    2
  • Collection(s):
  • Main Document Checksum:
    urn:sha256:ae89387060e6f0751b3dfcf85f1da57568a59f22ee3b95fa714a600649d00942
  • Download URL:
  • File Type:
    Filetype[PDF - 736.58 KB ]
File Language:
English
ON THIS PAGE

CDC STACKS serves as an archival repository of CDC-published products including scientific findings, journal articles, guidelines, recommendations, or other public health information authored or co-authored by CDC or funded partners.

As a repository, CDC STACKS retains documents in their original published format to ensure public access to scientific information.