Changes in rates of adverse pregnancy outcomes during the COVID-19 pandemic: a cross-sectional study in the United States, 2019–2020
Supporting Files
-
2022
-
File Language:
English
Details
-
Alternative Title:J Perinatol
-
Personal Author:
-
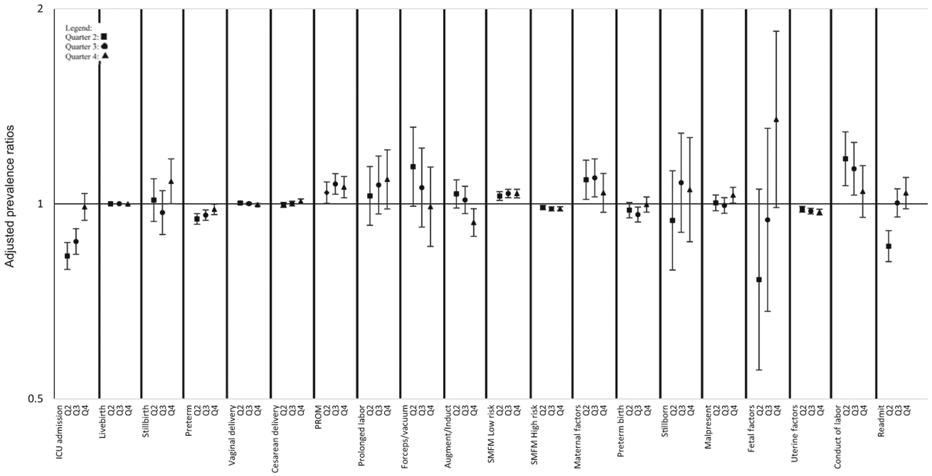
Description:OBJECTIVE:
Our objective was to assess differences in pregnancy outcomes during the COVID-19 pandemic compared to the previous year.
STUDY DESIGN:
In a cross-sectional study of delivery hospitalizations in the Premier Healthcare Database Special COVID-19 Release, we assessed differences in selected maternal and pregnancy outcomes occurring April–December in 2019 and 2020 in the United States.
RESULT:
Among 663,620 deliveries occurring in 2019 and 614,093 deliveries occurring in 2020, we observed an increase in in-hospital maternal death from 2019 to 2020, which was no longer statistically significant after excluding deliveries with a COVID-19 diagnosis. Intensive care unit admission and preterm birth decreased from 2019 to 2020. There was no difference in the prevalence of most other outcomes examined.
CONCLUSION:
The full impact of the COVID-19 pandemic on maternal and pregnancy outcomes remains to be understood. Most outcomes investigated experienced minimal change from 2019 to 2020.
-
Subjects:
-
Source:J Perinatol. 42(5):617-623
-
Pubmed ID:35169228
-
Pubmed Central ID:PMC8852860
-
Document Type:
-
Funding:
-
Volume:42
-
Issue:5
-
Collection(s):
-
Main Document Checksum:urn:sha256:b7ac21fd88cdfa45bbf463c1a5645ea7dd38f63d724b174fcd336f806c00f858
-
Download URL:
-
File Type:
Supporting Files
File Language:
English
ON THIS PAGE
CDC STACKS serves as an archival repository of CDC-published products including
scientific findings,
journal articles, guidelines, recommendations, or other public health information authored or
co-authored by CDC or funded partners.
As a repository, CDC STACKS retains documents in their original published format to ensure public access to scientific information.
As a repository, CDC STACKS retains documents in their original published format to ensure public access to scientific information.
You May Also Like
COLLECTION
CDC Public Access