Night shift work and cardiovascular disease biomarkers in female nurses
Supporting Files
-
3 2020
-
File Language:
English
Details
-
Alternative Title:Am J Ind Med
-
Personal Author:
-
Description:Background:
Night shift work is associated with cardiovascular disease, but its associations with cardiovascular disease biomarkers are unclear. We investigated these associations in a study of female nurses.
Methods:
We used data from Nurses’ Health Study II for total cholesterol, low-density lipoprotein cholesterol, high-density lipoprotein (HDL) cholesterol, triglycerides, C-reactive protein (CRP), and fibrinogen. Sample sizes for our analysis ranged from 458 (fibrinogen) to 3,574 (total cholesterol). From questionnaires, we determined number of night shifts worked in the two weeks before blood collection and total years of rotating night shift work. We used quantile regression to estimate differences in biomarker levels by shift work history, adjusting for potential confounders.
Results:
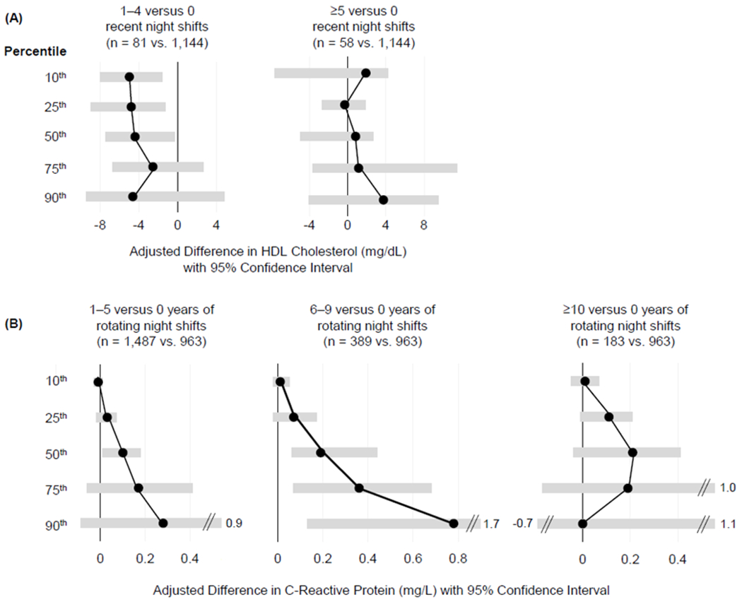
Nurses working 1-4 recent night shifts had median HDL cholesterol levels 4.4 mg/dL (95% confidence interval [CI]: 0.3, 7.5) lower than nurses without recent night shifts. However, working ≥5 recent night shifts and years of rotating night shift work were not associated with HDL cholesterol. There was no association between recent night shifts and CRP, but median CRP levels were 0.1 (95% CI: 0.0, 0.2), 0.2 (95% CI: 0.1, 0.4), and 0.2 (95% CI: −0.0, 0.4) mg/L higher among nurses working rotating night shifts for 1-5, 6-9 and ≥10 years compared to nurses never working rotating night shifts. These associations were attenuated when excluding postmenopausal women and women taking statins. We observed no associations between night shift work and other biomarkers.
Conclusions:
We found suggestive evidence of adverse short-term and long-term effects of night shift work on select cardiovascular disease biomarkers.
-
Subjects:
-
Source:Am J Ind Med. 63(3):240-248
-
Pubmed ID:31828843
-
Pubmed Central ID:PMC8572536
-
Document Type:
-
Funding:UM1CA17626/CA/NCI NIH HHSUnited States/ ; R01 OH009803/OH/NIOSH CDC HHSUnited States/ ; R01 CA067262/CA/NCI NIH HHSUnited States/ ; UM1 CA176726/CA/NCI NIH HHSUnited States/ ; R01OH009803/ACL/ACL HHSUnited States/ ; 2015-M-61780/OH/NIOSH CDC HHSUnited States/ ; OH009803/OH/NIOSH CDC HHSUnited States/ ; R01CA067262/CA/NCI NIH HHSUnited States/
-
Volume:63
-
Issue:3
-
Collection(s):
-
Main Document Checksum:urn:sha256:14f84c8db40eccb74f18a652daedd678f4c2815a5fd52810009311963be55616
-
Download URL:
-
File Type:
Supporting Files
File Language:
English
ON THIS PAGE
CDC STACKS serves as an archival repository of CDC-published products including
scientific findings,
journal articles, guidelines, recommendations, or other public health information authored or
co-authored by CDC or funded partners.
As a repository, CDC STACKS retains documents in their original published format to ensure public access to scientific information.
As a repository, CDC STACKS retains documents in their original published format to ensure public access to scientific information.
You May Also Like
COLLECTION
CDC Public Access