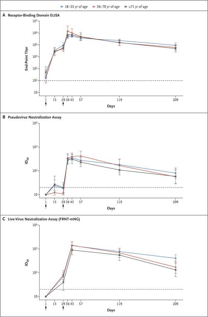
Antibody Persistence through 6 Months after the Second Dose of mRNA-1273 Vaccine for Covid-19
Supporting Files
-
6 10 2021
-
File Language:
English
Details
-
Alternative Title:N Engl J Med
-
Personal Author:Doria-Rose, Nicole ; Suthar, Mehul S. ; Makowski, Mat ; O’Connell, Sarah ; McDermott, Adrian B. ; Flach, Britta ; Ledgerwood, Julie E. ; Mascola, John R. ; Graham, Barney S. ; Lin, Bob C. ; O’Dell, Sijy ; Schmidt, Stephen D. ; Widge, Alicia T. ; Edara, Venkata-Viswanadh ; Anderson, Evan J. ; Lai, Lilin ; Floyd, Katharine ; Rouphael, Nadine G. ; Zarnitsyna, Veronika ; Roberts, Paul C. ; Makhene, Mamodikoe ; Buchanan, Wendy ; Luke, Catherine J. ; Beigel, John H. ; Jackson, Lisa A. ; Neuzil, Kathleen M. ; Bennett, Hamilton ; Leav, Brett ; Albert, Jim ; Kunwar, Pratap
-
Corporate Authors:
-
Subjects:
-
Source:N Engl J Med. 384(23):2259-2261
-
Pubmed ID:33822494
-
Pubmed Central ID:PMC8524784
-
Document Type:
-
Funding:UM1 AI148576/AI/NIAID NIH HHSUnited States/ ; UM1 AI148373/AI/NIAID NIH HHSUnited States/ ; P51 OD011132/CD/ODCDC CDC HHSUnited States/ ; U01 AI149644/AI/NIAID NIH HHSUnited States/ ; UM1 AI148684/AI/NIAID NIH HHSUnited States/ ; HHSN272201500002C/AI/NIAID NIH HHSUnited States/ ; U01 AI151698/AI/NIAID NIH HHSUnited States/ ; UL1 TR002243/TR/NCATS NIH HHSUnited States/
-
Volume:384
-
Issue:23
-
Collection(s):
-
Main Document Checksum:urn:sha256:3c3a98c9ae14983f5a00ade721013855c93289885a0a60fd5ef9398c13b222dc
-
Download URL:
-
File Type:
Supporting Files
File Language:
English
ON THIS PAGE
CDC STACKS serves as an archival repository of CDC-published products including
scientific findings,
journal articles, guidelines, recommendations, or other public health information authored or
co-authored by CDC or funded partners.
As a repository, CDC STACKS retains documents in their original published format to ensure public access to scientific information.
As a repository, CDC STACKS retains documents in their original published format to ensure public access to scientific information.
You May Also Like
COLLECTION
CDC Public Access