Keratinous biomarker of mercury exposure associated with amyotrophic lateral sclerosis risk in a nationwide U.S. study
Supporting Files
-
8 2020
-
File Language:
English
Details
-
Alternative Title:Amyotroph Lateral Scler Frontotemporal Degener
-
Personal Author:
-
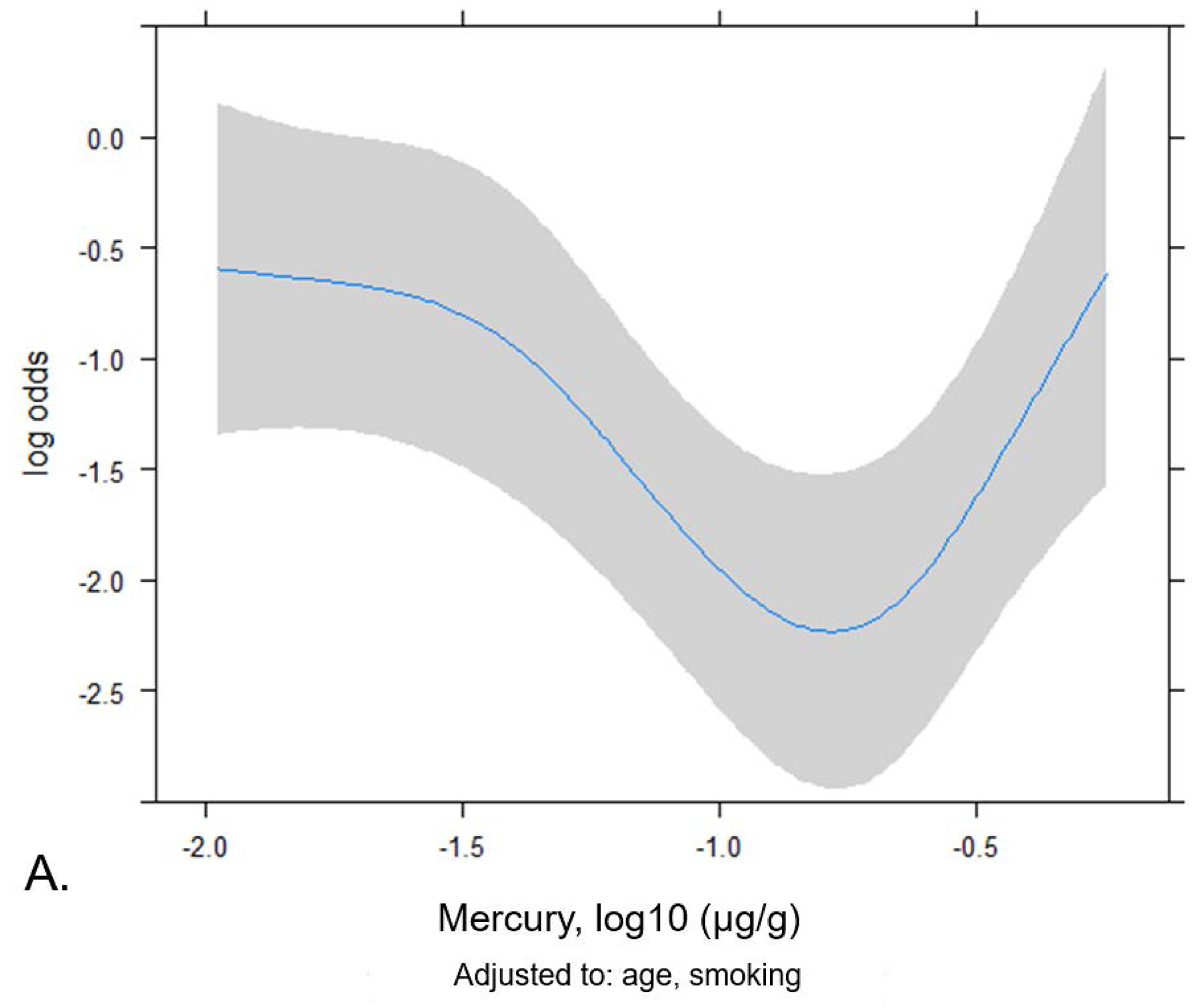
Description:Objective:
The majority of cases of the fatal neurodegenerative disease amyotrophic lateral sclerosis (ALS) are of unknown etiology. A proportion of these cases are likely to be attributable to contaminant exposures, although the specific environmental etiology of ALS remains largely a mystery. Certain forms of the neurotoxic metal mercury readily cross into the central nervous system. Fish is a dietary source of methymercury, but also of beneficial components, such as omega-3 polyunsaturated fatty acids. Prior work using clinic-based studies of toenails and hair as keratinous biomarkers of exposure suggest elevated mercury levels in ALS patients compared with controls. We sought to validate this relationship in a U.S. case-control comparison of mercury levels in nail clippings.
Methods:
We performed trace element analysis using inductively coupled plasma mass spectrometry (ICP-MS) on the nail clippings of n=70 female, geographically representative ALS patients from the National ALS Biorepository and compared them to n=210 age-matched controls from a set of n=1216 nationally distributed controls from the Sister and Two Sister Studies.
Results:
Compared to the lowest quartile of nail mercury, moderate levels were associated with decreased risk of ALS (P=4.18e-6). However, the odds of having nail mercury levels above the 90th percentile were 2.3 fold higher among ALS patients compared with controls (odds ratio (OR)=2.3, 95% confidence interval 1.10 – 4.58, adjusted for age and smoking status).
Conclusions:
This finding suggests that excessive mercury exposure may be associated with the neurodegenerative health of aging populations.
-
Subjects:
-
Keywords:
-
Source:Amyotroph Lateral Scler Frontotemporal Degener. 21(5-6):420-427
-
Pubmed ID:32329357
-
Pubmed Central ID:PMC7483924
-
Document Type:
-
Funding:
-
Volume:21
-
Collection(s):
-
Main Document Checksum:urn:sha-512:6d5810bcd93f8d6ecafecc64bfb1a75200554b4427909711d808da0b865b3f51b0cbf21148f8887ed7382390f50c98345d64f2709945cef88c8cd9715814945f
-
Download URL:
-
File Type:
Supporting Files
File Language:
English
ON THIS PAGE
CDC STACKS serves as an archival repository of CDC-published products including
scientific findings,
journal articles, guidelines, recommendations, or other public health information authored or
co-authored by CDC or funded partners.
As a repository, CDC STACKS retains documents in their original published format to ensure public access to scientific information.
As a repository, CDC STACKS retains documents in their original published format to ensure public access to scientific information.
You May Also Like
COLLECTION
CDC Public Access