U.S. flag An official website of the United States government.
Official websites use .gov

A .gov website belongs to an official government organization in the United States.

Secure .gov websites use HTTPS

A lock ( ) or https:// means you've safely connected to the .gov website. Share sensitive information only on official, secure websites.

i

Identification of Resilient and At-Risk Neighborhoods for Cardiovascular Disease Among Black Residents: the Morehouse-Emory Cardiovascular (MECA) Center for Health Equity Study

Supporting Files Public Domain
File Language:
English


Details

  • Journal Article:
    Preventing Chronic Disease (PCD)
  • Personal Author:
  • Description:
    Introduction

    Despite the growing interest in place as a determinant of health, areas that promote rather than reduce cardiovascular disease (CVD) in blacks are understudied. We performed an ecologic analysis to identify areas with high levels of CVD resilience and risk among blacks from a large southern, US metropolitan area.

    Methods

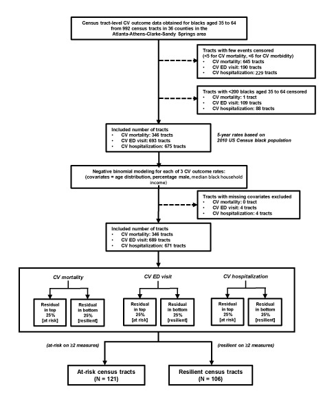
    We obtained census tract–level rates of cardiovascular deaths, emergency department (ED) visits, and hospitalizations for black adults aged 35 to 64 from 2010 through 2014 for the Atlanta, Georgia, metropolitan area. Census tracts with substantially lower rates of cardiovascular events on the basis of neighborhood socioeconomic status were identified as resilient and those with higher rates were identified as at risk. Logistic regression was used to estimate the odds ratios (OR) and 95% confidence intervals (CIs) of being classified as an at-risk versus resilient tract for differences in census-derived measures.

    Results

    We identified 106 resilient and 121 at-risk census tracts, which differed in the rates per 5,000 person years of cardiovascular outcomes (mortality, 8.13 vs 13.81; ED visits, 32.25 vs 146.3; hospitalizations, 26.69 vs 130.0), despite similarities in their median black income ($46,123 vs $45,306). Tracts with a higher percentage of residents aged 65 or older (odds ratio [OR], 2.29; 95% CI, 1.41–3.85 per 5% increment) and those with incomes less than 200% of the federal poverty level (OR, 1.19; 95% CI, 1.02–1.39 per 5% increment) and greater Gini index (OR, 1.56; 95% CI, 1.19– 2.07 per 0.05 increment) were more likely to be classified as at risk than resilient neighborhoods.

    Discussion

    Despite matching on median income level, at-risk neighborhoods for CVD among black populations were associated with a higher prevalence of socioeconomic indicators of inequality than resilient neighborhoods.

  • Subjects:
  • Source:
    Prev Chronic Dis. 16
  • DOI:
  • ISSN:
    1545-1151
  • Pubmed ID:
    31074715
  • Pubmed Central ID:
    PMC6513475
  • Document Type:
  • Volume:
    16
  • Collection(s):
  • Main Document Checksum:
    urn:sha-512:06b50429153446913e7a798d3eeca4133d87ff5bbd596ee7741d7bebc657003c489327c0e90f1f39617043d9e571de79b5523c4280399a3edc2ff0b1c01f6662
  • Download URL:
  • File Type:
    Filetype[PDF - 558.51 KB ]
File Language:
English
ON THIS PAGE

CDC STACKS serves as an archival repository of CDC-published products including scientific findings, journal articles, guidelines, recommendations, or other public health information authored or co-authored by CDC or funded partners.

As a repository, CDC STACKS retains documents in their original published format to ensure public access to scientific information.