U.S. flag An official website of the United States government.
Official websites use .gov

A .gov website belongs to an official government organization in the United States.

Secure .gov websites use HTTPS

A lock ( ) or https:// means you've safely connected to the .gov website. Share sensitive information only on official, secure websites.

i

Meta-Kriging: Scalable Bayesian Modeling and Inference for Massive Spatial Datasets

Supporting Files
File Language:
English


Details

  • Alternative Title:
    Technometrics
  • Personal Author:
  • Description:
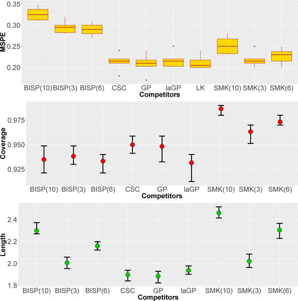
    Spatial process models for analyzing geostatistical data entail computations that become prohibitive as the number of spatial locations becomes large. There is a burgeoning literature on approaches for analyzing large spatial datasets. In this article, we propose a divide-and-conquer strategy within the Bayesian paradigm. We partition the data into subsets, analyze each subset using a Bayesian spatial process model and then obtain approximate posterior inference for the entire dataset by combining the individual posterior distributions from each subset. Importantly, as often desired in spatial analysis, we offer full posterior predictive inference at arbitrary locations for the outcome as well as the residual spatial surface after accounting for spatially oriented predictors. We call this approach "Spatial Meta-Kriging" (SMK). We do not need to store the entire data in one processor, and this leads to superior scalability. We demonstrate SMK with various spatial regression models including Gaussian processes and tapered Gaussian processes. The approach is intuitive, easy to implement, and is supported by theoretical results presented in the supplementary material available online. Empirical illustrations are provided using different simulation experiments and a geostatistical analysis of Pacific Ocean sea surface temperature data.
  • Keywords:
  • Source:
    Technometrics. 60(4):430-444
  • Pubmed ID:
    31007296
  • Pubmed Central ID:
    PMC6474670
  • Document Type:
  • Funding:
  • Volume:
    60
  • Issue:
    4
  • Collection(s):
  • Main Document Checksum:
    urn:sha256:b8b660536f37604635b6a01e492af5a897533bf7a0d1b423f539e81caad95e1f
  • Download URL:
  • File Type:
    Filetype[PDF - 951.42 KB ]
File Language:
English
ON THIS PAGE

CDC STACKS serves as an archival repository of CDC-published products including scientific findings, journal articles, guidelines, recommendations, or other public health information authored or co-authored by CDC or funded partners.

As a repository, CDC STACKS retains documents in their original published format to ensure public access to scientific information.