U.S. flag An official website of the United States government.
Official websites use .gov

A .gov website belongs to an official government organization in the United States.

Secure .gov websites use HTTPS

A lock ( ) or https:// means you've safely connected to the .gov website. Share sensitive information only on official, secure websites.

i

Identifying determinants of noise in a medical intensive care unit

Supporting Files
File Language:
English


Details

  • Alternative Title:
    J Occup Environ Hyg
  • Personal Author:
  • Description:
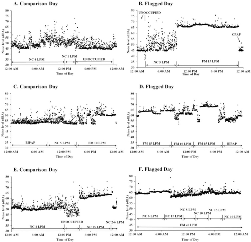
    Continuous and intermittent exposure to noise elevates stress, increases blood pressure, and disrupts sleep among patients in hospital intensive care units. The purpose of this study was to determine the effectiveness of a behavior-based intervention to reduce noise and to identify determinants of noise in a medical intensive care unit. Staff were trained for 6 weeks to reduce noise during their activities in an effort to keep noise levels below 55 dBA during the day and below 50 dBA at night. One-min noise levels were logged continuously in patient rooms 8 weeks before and after the intervention. Noise levels were compared by room position, occupancy status, and time of day. Noise levels from flagged days (>60 dBA for >10 hr) were correlated with activity logs. The intervention was ineffective, with noise frequently exceeding project goals during the day and night. Noise levels were higher in rooms with the oldest heating, ventilation, and air-conditioning system, even when patient rooms were unoccupied. Of the flagged days, the odds of noise over 60 dBA occurring was 5.3 dBA higher when high-flow respiratory support devices were in use compared to times with low-flow devices in use (OR = 5.3, 95% CI = 5.0-5.5). General sources, like the heating, ventilation, and air-conditioning system, contribute to high baseline noise and high-volume (>10 L/min) respiratory-support devices generate additional high noise (>60 dBA) in Intensive Care Unit patient rooms. This work suggests that engineering controls (e.g., ventilation changes or equipment shielding) may be more effective in reducing noise in hospital intensive care units than behavior modification alone.
  • Subjects:
  • Source:
    J Occup Environ Hyg. 15(12):810-817
  • Pubmed ID:
    30193088
  • Pubmed Central ID:
    PMC6372309
  • Document Type:
  • Funding:
  • Place as Subject:
  • Volume:
    15
  • Issue:
    12
  • Collection(s):
  • Main Document Checksum:
    urn:sha256:1499c4990ed1093b7073154f9978daae0d58fe34e901005d1fae86af428e0d54
  • Download URL:
  • File Type:
    Filetype[PDF - 903.16 KB ]
File Language:
English
ON THIS PAGE

CDC STACKS serves as an archival repository of CDC-published products including scientific findings, journal articles, guidelines, recommendations, or other public health information authored or co-authored by CDC or funded partners.

As a repository, CDC STACKS retains documents in their original published format to ensure public access to scientific information.