U.S. flag An official website of the United States government.
Official websites use .gov

A .gov website belongs to an official government organization in the United States.

Secure .gov websites use HTTPS

A lock ( ) or https:// means you've safely connected to the .gov website. Share sensitive information only on official, secure websites.

i

Differences in breast cancer incidence among young women aged 20–49 years by stage and tumor characteristics, age, race, and ethnicity, 2004–2013

Supporting Files
File Language:
English


Details

  • Alternative Title:
    Breast Cancer Res Treat
  • Personal Author:
  • Description:
    Purpose

    Younger women diagnosed with breast cancer have poorer prognoses and higher mortality compared to older women. Young black women have higher incidence rates of breast cancer and more aggressive subtypes than women of other races/ethnicities. In this study, we examined recent trends and variations in breast cancer incidence among young women in the United States.

    Methods

    Using 2004–2013 National Program of Cancer Registries and Surveillance, Epidemiology, and End Results Program data, we calculated breast cancer incidence rates and trends and examined variations in stage, grade, and tumor subtype by age and race/ethnicity among young women aged 20–49 years.

    Results

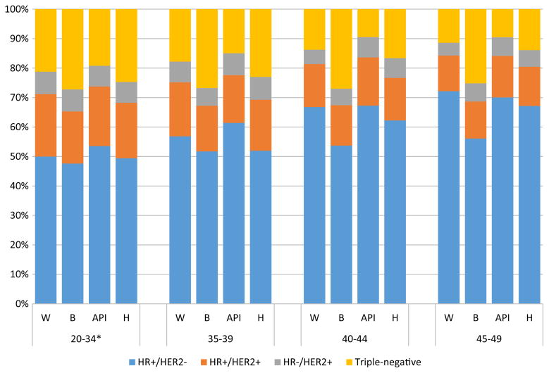
    The majority of breast cancer cases occurred in women aged 40–44 and 45–49 years (77.3%). Among women aged < 45 years, breast cancer incidence was highest among black women. Incidence trends increased from 2004 to 2013 for Asian or Pacific Islander (API) women and white women aged 20–34 years. Black, American Indian or Alaska Native, and Hispanic women had higher proportions of cases diagnosed at later stages than white and API women. Black women had a higher proportion of grade III–IV tumors than other racial/ethnic groups. Across all age groups, incidence rates for triple-negative breast cancer were significantly higher in black women than women of other races/ethnicities, and this disparity increased with age.

    Conclusions

    Breast cancer among young women is a highly heterogeneous disease. Differences in tumor characteristics by age and race/ethnicity suggest opportunities for further research into personal and cultural factors that may influence breast cancer risk among younger women.

  • Subjects:
  • Source:
    Breast Cancer Res Treat. 169(3):595-606
  • Pubmed ID:
    29445940
  • Pubmed Central ID:
    PMC5955792
  • Document Type:
  • Funding:
  • Place as Subject:
  • Volume:
    169
  • Issue:
    3
  • Collection(s):
  • Main Document Checksum:
    urn:sha256:d3dbc1836aac023ae0df4fec5ea71d0db24f4b8a449ca45e6dc029aba5a5c151
  • Download URL:
  • File Type:
    Filetype[PDF - 789.68 KB ]
File Language:
English
ON THIS PAGE

CDC STACKS serves as an archival repository of CDC-published products including scientific findings, journal articles, guidelines, recommendations, or other public health information authored or co-authored by CDC or funded partners.

As a repository, CDC STACKS retains documents in their original published format to ensure public access to scientific information.