U.S. flag An official website of the United States government.
Official websites use .gov

A .gov website belongs to an official government organization in the United States.

Secure .gov websites use HTTPS

A lock ( ) or https:// means you've safely connected to the .gov website. Share sensitive information only on official, secure websites.

i

Consensus and conflict among ecological forecasts of Zika virus outbreaks in the United States

Supporting Files Public Domain
File Language:
English


Details

  • Alternative Title:
    Sci Rep
  • Personal Author:
  • Description:
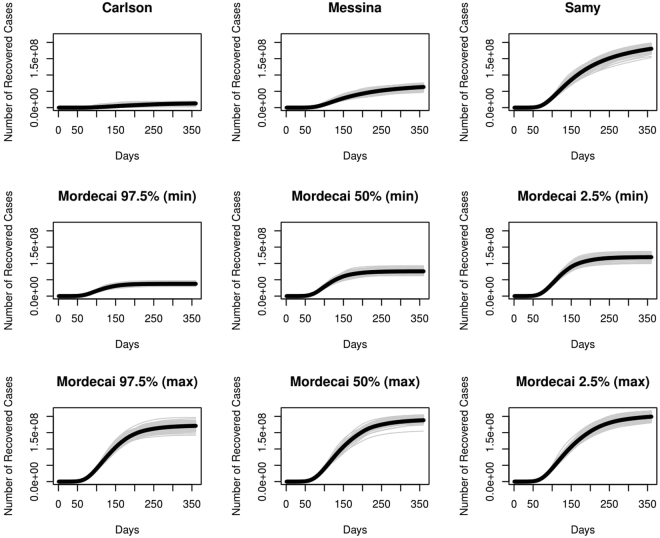
    Ecologists are increasingly involved in the pandemic prediction process. In the course of the Zika outbreak in the Americas, several ecological models were developed to forecast the potential global distribution of the disease. Conflicting results produced by alternative methods are unresolved, hindering the development of appropriate public health forecasts. We compare ecological niche models and experimentally-driven mechanistic forecasts for Zika transmission in the continental United States. We use generic and uninformed stochastic county-level simulations to demonstrate the downstream epidemiological consequences of conflict among ecological models, and show how assumptions and parameterization in the ecological and epidemiological models propagate uncertainty and produce downstream model conflict. We conclude by proposing a basic consensus method that could resolve conflicting models of potential outbreak geography and seasonality. Our results illustrate the usually-undocumented margin of uncertainty that could emerge from using any one of these predictions without reservation or qualification. In the short term, ecologists face the task of developing better post hoc consensus that accurately forecasts spatial patterns of Zika virus outbreaks. Ultimately, methods are needed that bridge the gap between ecological and epidemiological approaches to predicting transmission and realistically capture both outbreak size and geography.
  • Subjects:
  • Source:
    Sci Rep. 8.
  • Pubmed ID:
    29563545
  • Pubmed Central ID:
    PMC5862882
  • Document Type:
  • Place as Subject:
  • Volume:
    8
  • Collection(s):
  • Main Document Checksum:
    urn:sha256:e5a87fa5987b31d7c3eaf30a7d7f3273cc3b8010df8064ddf284e36d49787ab0
  • Download URL:
  • File Type:
    Filetype[PDF - 2.66 MB ]
File Language:
English
ON THIS PAGE

CDC STACKS serves as an archival repository of CDC-published products including scientific findings, journal articles, guidelines, recommendations, or other public health information authored or co-authored by CDC or funded partners.

As a repository, CDC STACKS retains documents in their original published format to ensure public access to scientific information.