Parental age and risk of infant leukemia: a pooled analysis
Supporting Files
-
Sep 22 2017
-
File Language:
English
Details
-
Alternative Title:Paediatr Perinat Epidemiol
-
Personal Author:
-
Description:Background
Infant leukemia (IL) is extremely rare with fewer than 150 cases occurring each year in the United States. Little is known about its causes. However, recent evidence supports a role of de novo mutations in IL etiology. Parental age has been associated with several adverse outcomes in offspring, including childhood cancers. Given the role of older parental age in de novo mutations in offspring, we carried out an analysis of parental age and IL.
Methods
We evaluated the relationship between parental age and IL in a case-control study using registry data from New York, Minnesota, California, Texas and Washington. Records from 402 cases (219 acute lymphoblastic leukemia [ALL], 131 acute myeloid leukemia [AML], 52 other) and 45,392 controls born during 1981–2004 were analyzed. Odds ratios (ORs) and 95% confidence intervals (CI) were calculated by logistic regression. Estimates were adjusted for infant sex, birth year category, maternal race, state, and mutually adjusted for paternal or maternal age, respectively.
Results
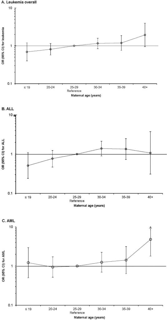
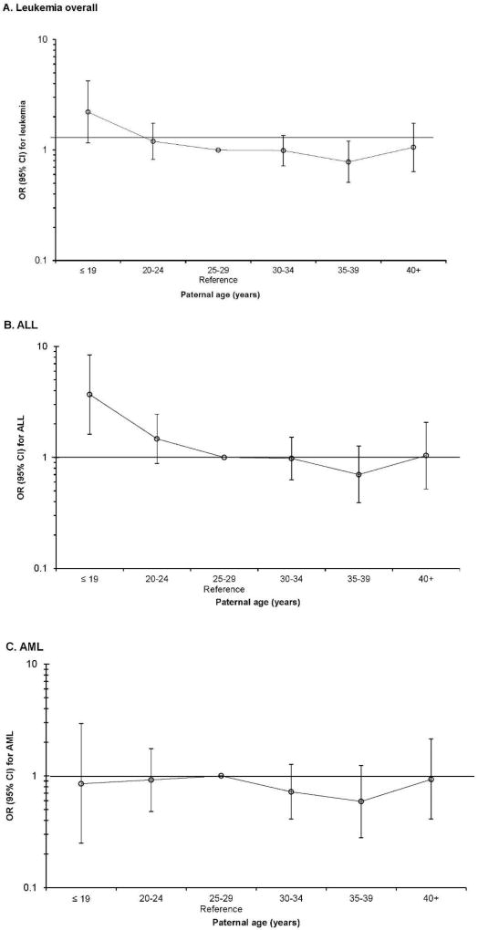
Infants with mothers age ≥40 years had an increased risk of developing AML (OR 4.80, 95% CI 1.80, 12.76). In contrast, paternal age <20 was associated with increased risk of ALL (OR 3.69, 95% CI 1.62, 8.41).
Conclusion
Ours is the first study to show an association with young paternal age and infant ALL. Given record linkage, there is little concern with recall or selection bias, although data are lacking on MLL gene status and other potentially important variables. Parent of origin effects, de novo mutations and/or carcinogenic exposures may be involved in IL etiology.
-
Subjects:
-
Source:Paediatr Perinat Epidemiol. 31(6):563-572.
-
Pubmed ID:28940632
-
Pubmed Central ID:PMC5901723
-
Document Type:
-
Funding:
-
Place as Subject:
-
Volume:31
-
Issue:6
-
Collection(s):
-
Main Document Checksum:urn:sha-512:8cf38b75d8c7de672193cf9ac4d3c73c1bb91f50d87f86db78259b29b4d735be56c1e8e0461fe81a66db138329b3693cf882faf6fcf7f2875dcffb14d0807477
-
Download URL:
-
File Type:
Supporting Files
File Language:
English
ON THIS PAGE
CDC STACKS serves as an archival repository of CDC-published products including
scientific findings,
journal articles, guidelines, recommendations, or other public health information authored or
co-authored by CDC or funded partners.
As a repository, CDC STACKS retains documents in their original published format to ensure public access to scientific information.
As a repository, CDC STACKS retains documents in their original published format to ensure public access to scientific information.
You May Also Like
COLLECTION
CDC Public Access