Oregon Medicaid Expenditures After the 2014 Affordable Care Act Medicaid Expansion
Supporting Files
-
5 2018
-
File Language:
English
Details
-
Alternative Title:Med Care
-
Personal Author:
-
Description:Background
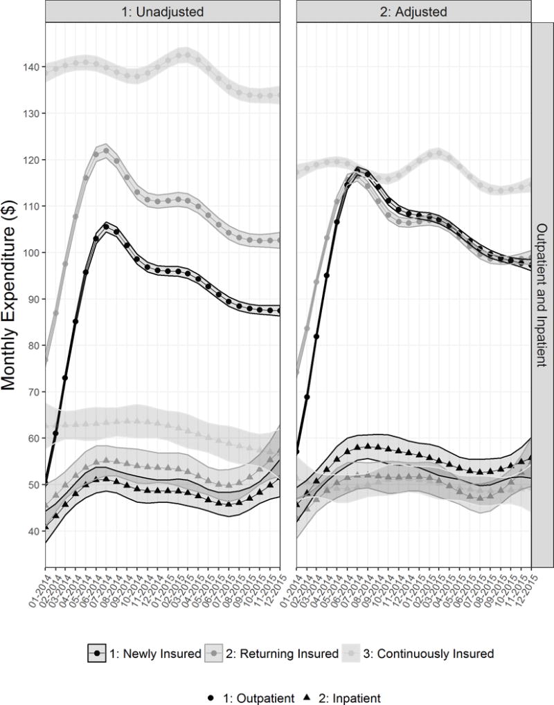
There is interest in assessing healthcare utilization and expenditures among new Medicaid enrollees after the 2014 Medicaid expansion. Recent studies have not differentiated between newly enrolled individuals and those returning after coverage gaps.
Objectives
To assess healthcare expenditures among Medicaid enrollees in the 24 months after Oregon’s 2014 Medicaid expansions and examine whether expenditure patterns were different among the newly, returning, and continuously insured.
Research Design
Retrospective cohort study using inverse-propensity weights to adjust for differences between groups.
Subjects
Oregon adult Medicaid beneficiaries insured continuously from 2014-2015 who were either newly, returning, or continuously insured.
Measures
Monthly expenditures for inpatient care, prescription drugs, total outpatient care, and subdivisions of outpatient care: emergency department (ED), dental, mental and behavioral health (MBH), primary care (PC), and specialist care.
Results
After initial increases, newly and returning insured outpatient expenditures dropped below continuously insured. Expenditures for ED and dental services among the returning insured remained higher than among the newly insured. Newly insured MBH, PC, and specialist expenditures plateaued higher than returning insured. Prescription drug expenditures increased over time for all groups, with continuously insured highest and returning insured lowest. All groups had similar inpatient expenditures over 24 months post-Medicaid expansion.
Conclusions
Our findings reveal that outpatient expenditures for new non-pregnant, non-dual-eligible Oregon Medicaid recipients stabilized over time after meeting pent-up demand, and prior insurance history affected the mix of services that individuals received. Policy evaluations should consider expenditures over at least 24 months and should account for enrollees’ prior insurance histories.
-
Keywords:
-
Source:Med Care. 56(5):394-402
-
Pubmed ID:29578955
-
Pubmed Central ID:PMC5893375
-
Document Type:
-
Funding:
-
Volume:56
-
Issue:5
-
Collection(s):
-
Main Document Checksum:urn:sha256:7f56c9afb5c3c9f900de1eb182edff021d1d8094e057a26b80494ec6860c76ad
-
Download URL:
-
File Type:
Supporting Files
File Language:
English
ON THIS PAGE
CDC STACKS serves as an archival repository of CDC-published products including
scientific findings,
journal articles, guidelines, recommendations, or other public health information authored or
co-authored by CDC or funded partners.
As a repository, CDC STACKS retains documents in their original published format to ensure public access to scientific information.
As a repository, CDC STACKS retains documents in their original published format to ensure public access to scientific information.
You May Also Like
COLLECTION
CDC Public Access