U.S. flag An official website of the United States government.
Official websites use .gov

A .gov website belongs to an official government organization in the United States.

Secure .gov websites use HTTPS

A lock ( ) or https:// means you've safely connected to the .gov website. Share sensitive information only on official, secure websites.

i

Trends in impact of Medicaid expansion on use of clinical preventive services

Supporting Files
File Language:
English


Details

  • Alternative Title:
    Am J Prev Med
  • Personal Author:
  • Description:
    Introduction:

    This study aimed to evaluate the trends in the impact of Medicaid expansion on the use of selected recommended clinical preventive services (CPSs) and examine differences in use by income level over time.

    Methods:

    The data were obtained from the 2011–2019 Behavioral Risk Factor Surveillance System and were analyzed in 2021. This study conducted a difference-in-differences analysis of the association between Medicaid expansion and the use of five CPSs, including colon/breast/cervical cancer screenings, HIV testing and influenza vaccination. Annual percent change was applied to assess the trends in the impact of Medicaid expansion on the use of CPSs.

    Results:

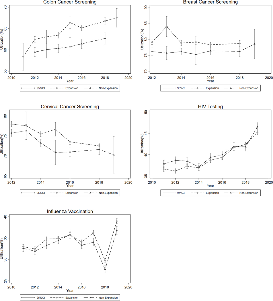
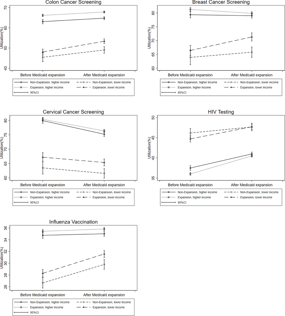
    The use of all five CPSs varied over time. In almost every year, the use of four CPSs (all but HIV testing) among Medicaid expansion states was higher than that among the non-expansion states. People with lower income used four CPSs (all but HIV testing) less frequently than those with higher income, regardless of their residence in expansion or non-expansion groups. Among the lower-income group, the use of five CPSs increased after Medicaid expansion almost every year with the use of colon cancer screening and HIV testing reaching statistical significance, and the impact of Medicaid expansion in the use of each CPS kept stable from 2014–2019.

    Conclusions:

    Our findings provide evidence that Medicaid expansion may be associated with sustainably increased use of the selected recommended CPSs among the lower-income population and that Medicaid expansion to reduce financial barriers may be an effective strategy to improve population health.

  • Keywords:
  • Source:
    Am J Prev Med. 62(5):752-762
  • Pubmed ID:
    34961626
  • Pubmed Central ID:
    PMC10570964
  • Document Type:
  • Funding:
  • Volume:
    62
  • Issue:
    5
  • Collection(s):
  • Main Document Checksum:
    urn:sha256:3df44d5206f58feef9c6f4978c2e580409aab377798ef42321127a6fce43ff58
  • Download URL:
  • File Type:
    Filetype[PDF - 793.21 KB ]
File Language:
English
ON THIS PAGE

CDC STACKS serves as an archival repository of CDC-published products including scientific findings, journal articles, guidelines, recommendations, or other public health information authored or co-authored by CDC or funded partners.

As a repository, CDC STACKS retains documents in their original published format to ensure public access to scientific information.