U.S. flag An official website of the United States government.
Official websites use .gov

A .gov website belongs to an official government organization in the United States.

Secure .gov websites use HTTPS

A lock ( ) or https:// means you've safely connected to the .gov website. Share sensitive information only on official, secure websites.

i

Non-derivatized Assay for the Simultaneous Detection of Amino Acids, Acylcarnitines, Succinylacetone, Creatine, and Guanidinoacetic Acid in Dried Blood Spots by Tandem Mass Spectrometry

Supporting Files
File Language:
English


Details

  • Alternative Title:
    Int J Neonatal Screen
  • Personal Author:
  • Description:
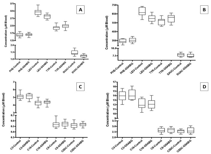
    Guanidinoacetate methyltransferase (GAMT) deficiency is an autosomal recessive genetic disorder which results in global developmental delay and intellectual disability. There is evidence that early treatment prevents intellectual disability and seizures. GAMT deficiency is now being discussed as a potential addition to the U.S. Recommended Uniform Screening Panel (RUSP); the availability of suitable screening methods must be considered. A neonatal screening derivatized method to quantify creatine (CRE) and guanidinoacetic acid (GAA) in dried blood spots by tandem mass spectrometry (MS/MS) has been described. Its key feature is the ability to detect CRE and GAA in the same extract generated from neonatal DBS during amino acids (AA) and acylcarnitines (AC) analysis. More laboratories are adopting non-derivatized MS/MS screening methods. We describe an improved, non-derivatized DBS extraction and MS/MS analytical method (AAAC-GAMT) which incorporates quantitation of CRE and GAA into routine analysis of amino acids, acylcarnitines, and succinylacetone. The non-derivatized AAAC-GAMT method performs comparably to the stand-alone GAMT and non-derivatized AAAC screening methods, evidencing its potential suitability for high-throughput GAMT neonatal screening.
  • Keywords:
  • Source:
    Int J Neonatal Screen. 2(4) ; Int J Neonatal Screen. 2(4)
  • Pubmed ID:
    28868498
  • Pubmed Central ID:
    PMC5580725
  • Document Type:
  • Funding:
  • Volume:
    2
  • Issue:
    4
  • Collection(s):
  • Main Document Checksum:
    urn:sha-512:3897260c7076f37dcd71b10449c5a36f60ed2b0925c609f624fd0e287ebbf1c3dadf41ddea08e17519d6681629b263e6122e289adec1abd952b6faf5d03a3762
  • Download URL:
  • File Type:
    Filetype[PDF - 429.65 KB ]
File Language:
English
ON THIS PAGE

CDC STACKS serves as an archival repository of CDC-published products including scientific findings, journal articles, guidelines, recommendations, or other public health information authored or co-authored by CDC or funded partners.

As a repository, CDC STACKS retains documents in their original published format to ensure public access to scientific information.