Use of Quantile Regression to Determine the Impact on Total Health Care Costs of Surgical Site Infections Following Common Ambulatory Procedures
Supporting Files
-
Feb 2017
-
File Language:
English
Details
-
Alternative Title:Ann Surg
-
Personal Author:
-
Description:Objective
To determine the impact of surgical site infections (SSIs) on healthcare costs following common ambulatory surgical procedures throughout the cost distribution.
Background
Data on costs of SSIs following ambulatory surgery are sparse, particularly variation beyond just mean costs.
Methods
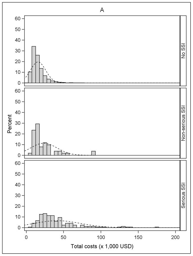
We performed a retrospective cohort study of persons undergoing cholecystectomy, breast-conserving surgery (BCS), anterior cruciate ligament reconstruction (ACL), and hernia repair from 12/31/2004–12/31/2010 using commercial insurer claims data. SSIs within 90 days post-procedure were identified; infections during a hospitalization or requiring surgery were considered serious. We used quantile regression, controlling for patient, operative, and postoperative factors to examine the impact of SSIs on 180-day healthcare costs throughout the cost distribution.
Results
The incidence of serious and non-serious SSIs were 0.8% and 0.2% after 21,062 ACL, 0.5% and 0.3% after 57,750 cholecystectomy, 0.6% and 0.5% after 60,681 hernia, and 0.8% and 0.8% after 42,489 BCS procedures. Serious SSIs were associated with significantly higher costs than non-serious SSIs for all 4 procedures throughout the cost distribution. The attributable cost of serious SSIs increased for both cholecystectomy and hernia repair as the quantile of total costs increased ($38,410 for cholecystectomy with serious SSI vs. no SSI at the 70th percentile of costs, up to $89,371 at the 90th percentile).
Conclusions
SSIs, particularly serious infections resulting in hospitalization or surgical treatment, were associated with significantly increased healthcare costs after 4 common surgical procedures. Quantile regression illustrated the differential effect of serious SSIs on healthcare costs at the upper end of the cost distribution.
-
Subjects:
-
Source:Ann Surg. 265(2):331-339.
-
Pubmed ID:28059961
-
Pubmed Central ID:PMC5522732
-
Document Type:
-
Funding:
-
Place as Subject:
-
Volume:265
-
Issue:2
-
Collection(s):
-
Main Document Checksum:urn:sha256:8d78a91b1c886b042ba13ae3460186d049933bff39763fc88797e738c7d1c738
-
Download URL:
-
File Type:
Supporting Files
File Language:
English
ON THIS PAGE
CDC STACKS serves as an archival repository of CDC-published products including
scientific findings,
journal articles, guidelines, recommendations, or other public health information authored or
co-authored by CDC or funded partners.
As a repository, CDC STACKS retains documents in their original published format to ensure public access to scientific information.
As a repository, CDC STACKS retains documents in their original published format to ensure public access to scientific information.
You May Also Like
COLLECTION
CDC Public Access