U.S. flag An official website of the United States government.
Official websites use .gov

A .gov website belongs to an official government organization in the United States.

Secure .gov websites use HTTPS

A lock ( ) or https:// means you've safely connected to the .gov website. Share sensitive information only on official, secure websites.

i

Comparison of cell counting methods in rodent pulmonary toxicity studies: automated and manual protocols and considerations for experimental design

Supporting Files
File Language:
English


Details

  • Alternative Title:
    Inhal Toxicol
  • Personal Author:
  • Description:
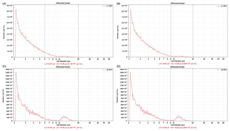
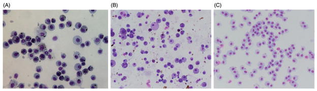
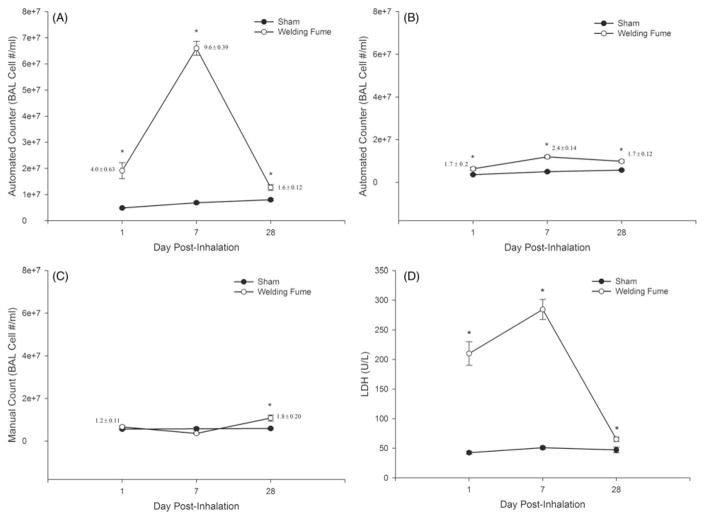
    Pulmonary toxicity studies often use bronchoalveolar lavage (BAL) to investigate potential adverse lung responses to a particulate exposure. The BAL cellular fraction is counted, using automated (i.e. Coulter Counter®), flow cytometry or manual (i.e. hemocytometer) methods, to determine inflammatory cell influx. The goal of the study was to compare the different counting methods to determine which is optimal for examining BAL cell influx after exposure by inhalation or intratracheal instillation (ITI) to different particles with varying inherent pulmonary toxicities in both rat and mouse models. General findings indicate that total BAL cell counts using the automated and manual methods tended to agree after inhalation or ITI exposure to particle samples that are relatively nontoxic or at later time points after exposure to a pneumotoxic particle when the response resolves. However, when the initial lung inflammation and cytotoxicity was high after exposure to a pneumotoxic particle, significant differences were observed when comparing cell counts from the automated, flow cytometry and manual methods. When using total BAL cell count for differential calculations from the automated method, depending on the cell diameter size range cutoff, the data suggest that the number of lung polymorphonuclear leukocytes (PMN) varies. Importantly, the automated counts, regardless of the size cutoff, still indicated a greater number of total lung PMN when compared with the manual method, which agreed more closely with flow cytometry. The results suggest that either the manual method or flow cytometry would be better suited for BAL studies where cytotoxicity is an unknown variable.
  • Subjects:
  • Source:
    Inhal Toxicol. 28(9):410-420.
  • Pubmed ID:
    27251196
  • Pubmed Central ID:
    PMC4911306
  • Document Type:
  • Funding:
  • Volume:
    28
  • Issue:
    9
  • Collection(s):
  • Main Document Checksum:
    urn:sha256:bc4db9a0b23fa58ec60cf4ad98b8e0b34492321dd6fbb4588fab1fbc9127cedc
  • Download URL:
  • File Type:
    Filetype[PDF - 848.46 KB ]
File Language:
English
ON THIS PAGE

CDC STACKS serves as an archival repository of CDC-published products including scientific findings, journal articles, guidelines, recommendations, or other public health information authored or co-authored by CDC or funded partners.

As a repository, CDC STACKS retains documents in their original published format to ensure public access to scientific information.