U.S. flag An official website of the United States government.
Official websites use .gov

A .gov website belongs to an official government organization in the United States.

Secure .gov websites use HTTPS

A lock ( ) or https:// means you've safely connected to the .gov website. Share sensitive information only on official, secure websites.

i

Willingness to Pay for Dog Rabies Vaccine and Registration in Ilocos Norte, Philippines (2012)

Supporting Files
File Language:
English


Details

  • Alternative Title:
    PLoS Negl Trop Dis
  • Personal Author:
  • Description:
    Background

    The Philippines is one of the developing countries highly affected by rabies. Dog vaccination campaigns implemented through collaborative effort between the government and NGOs have played an important role in successfully reducing the burden of disease within the country. Nevertheless, rabies vaccination of the domestic animal population requires continuous commitment not only from governments and NGOs, but also from local communities that are directly affected by such efforts. To create such long-term sustained programs, the introduction of affordable dog vaccination and registration fees is essential and has been shown to be an important strategy in Bohol, Philippines. The aim of this study, therefore, was to estimate the average amount of money that individuals were willing to pay for dog vaccination and registration in Ilocos Norte, Philippines. This study also investigated some of the determinants of individuals’ willingness to pay (WTP).

    Methods

    A cross-sectional questionnaire was administered to 300 households in 17 municipalities (out of a total of 21) selected through a multi-stage cluster survey technique. At the time of the survey, Ilocos Norte had a population of approximately 568,017 and was predominantly rural. The Contingent Valuation Method was used to elicit WTP for dog rabies vaccination and registration. A ‘bidding game’ elicitation strategy that aims to find the maximum amount of money individuals were willing to pay was also employed. Data were collected using paper-based questionnaires. Linear regression was used to examine factors influencing participants’ WTP for dog rabies vaccination and registration.

    Key Results

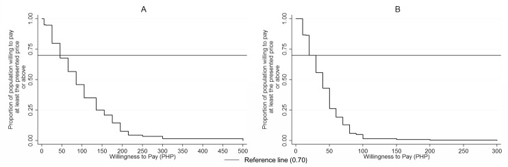
    On average, Ilocos Norte residents were willing to pay 69.65 Philippine Pesos (PHP) (equivalent to 1.67 USD in 2012) for dog vaccination and 29.13PHP (0.70 USD) for dog registration. Eighty-six per cent of respondents were willing to pay the stated amount to vaccinate each of their dogs, annually. This study also found that WTP was influenced by demographic and knowledge factors. Among these, we found that age, income, participants’ willingness to commit to pay each year, municipality of residency, knowledge of the signs of rabies in dogs, and number of dogs owed significantly predicted WTP.

  • Subjects:
  • Source:
    PLoS Negl Trop Dis. 10(3).
  • Pubmed ID:
    26999021
  • Pubmed Central ID:
    PMC4801174
  • Document Type:
  • Funding:
  • Place as Subject:
  • Volume:
    10
  • Issue:
    3
  • Collection(s):
  • Main Document Checksum:
    urn:sha256:76251e2516e33cf14b7d485fef31f7475e27ebd6c23de06e61db7ef2e8faf921
  • Download URL:
  • File Type:
    Filetype[PDF - 1.17 MB ]
File Language:
English
ON THIS PAGE

CDC STACKS serves as an archival repository of CDC-published products including scientific findings, journal articles, guidelines, recommendations, or other public health information authored or co-authored by CDC or funded partners.

As a repository, CDC STACKS retains documents in their original published format to ensure public access to scientific information.