U.S. flag An official website of the United States government.
Official websites use .gov

A .gov website belongs to an official government organization in the United States.

Secure .gov websites use HTTPS

A lock ( ) or https:// means you've safely connected to the .gov website. Share sensitive information only on official, secure websites.

i

The Transient Dermal Exposure II: Post-Exposure Absorption and Evaporation of Volatile Compounds

Supporting Files


Details

  • Alternative Title:
    J Pharm Sci
  • Personal Author:
  • Description:
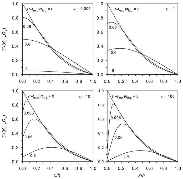
    The transient dermal exposure is one where the skin is exposed to chemical for a finite duration, after which the chemical is removed and no residue remains on the skin's surface. Chemical within the skin at the end of the exposure period can still enter the systemic circulation. If it has some volatility, a portion of it will evaporate from the surface before it has a chance to be absorbed by the body. The fate of this post-exposure "skin depot" is the focus of this theoretical study. Laplace domain solutions for concentration distribution, flux, and cumulative mass absorption and evaporation are presented, and time domain results are obtained through numerical inversion. The Final Value Theorem is applied to obtain the analytical solutions for the total fractional absorption by the body and evaporation from skin at infinite time following a transient exposure. The solutions depend on two dimensionless variables: χ, the ratio of evaporation rate to steady-state dermal permeation rate; and the ratio of exposure time to membrane lag time. Simple closed form algebraic equations are presented that closely approximate the complete analytical solutions. Applications of the theory to the dermal risk assessment of pharmaceutical, occupational, and environmental exposures are presented for four example chemicals.
  • Subjects:
  • Source:
    J Pharm Sci. 104(4):1499-1507.
  • Pubmed ID:
    25611182
  • Pubmed Central ID:
    PMC4807354
  • Document Type:
  • Funding:
  • Volume:
    104
  • Issue:
    4
  • Collection(s):
  • Main Document Checksum:
    urn:sha256:edf9d7c3f71352cabc9f054478da6651167053aff2a65f748efaafea39324450
  • Download URL:
  • File Type:
    Filetype[PDF - 1000.82 KB ]
ON THIS PAGE

CDC STACKS serves as an archival repository of CDC-published products including scientific findings, journal articles, guidelines, recommendations, or other public health information authored or co-authored by CDC or funded partners.

As a repository, CDC STACKS retains documents in their original published format to ensure public access to scientific information.