U.S. flag An official website of the United States government.
Official websites use .gov

A .gov website belongs to an official government organization in the United States.

Secure .gov websites use HTTPS

A lock ( ) or https:// means you've safely connected to the .gov website. Share sensitive information only on official, secure websites.

i

Calcium plus vitamin D supplementation and risk of fractures: an updated meta-analysis from the National Osteoporosis Foundation

Supporting Files Public Domain


Details

  • Alternative Title:
    Osteoporos Int
  • Personal Author:
  • Description:
    Summary

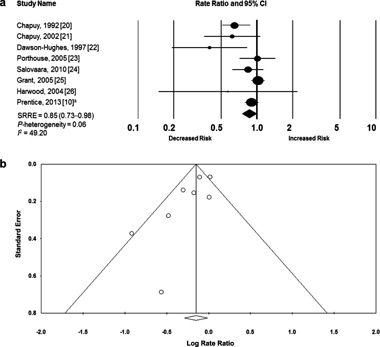
    The aim was to meta-analyze randomized controlled trials of calcium plus vitamin D supplementation and fracture prevention. Meta-analysis showed a significant 15 % reduced risk of total fractures (summary relative risk estimate [SRRE], 0.85; 95 % confidence interval [CI], 0.73–0.98) and a 30 % reduced risk of hip fractures (SRRE, 0.70; 95 % CI, 0.56–0.87).

    Introduction

    Calcium plus vitamin D supplementation has been widely recommended to prevent osteoporosis and subsequent fractures; however, considerable controversy exists regarding the association of such supplementation and fracture risk. The aim was to conduct a meta-analysis of randomized controlled trials [RCTs] of calcium plus vitamin D supplementation and fracture prevention in adults.

    Methods

    A PubMed literature search was conducted for the period from July 1, 2011 through July 31, 2015. RCTs reporting the effect of calcium plus vitamin D supplementation on fracture incidence were selected from English-language studies. Qualitative and quantitative information was extracted; random-effects meta-analyses were conducted to generate summary relative risk estimates (SRREs) for total and hip fractures. Statistical heterogeneity was assessed using Cochran’s Q test and the I2 statistic, and potential for publication bias was assessed.

    Results

    Of the citations retrieved, eight studies including 30,970 participants met criteria for inclusion in the primary analysis, reporting 195 hip fractures and 2231 total fractures. Meta-analysis of all studies showed that calcium plus vitamin D supplementation produced a statistically significant 15 % reduced risk of total fractures (SRRE, 0.85; 95 % confidence interval [CI], 0.73–0.98) and a 30 % reduced risk of hip fractures (SRRE, 0.70; 95 % CI, 0.56–0.87). Numerous sensitivity and subgroup analyses produced similar summary associations. A limitation is that this study utilized data from subgroup analysis of the Women’s Health Initiative.

    Conclusions

    This meta-analysis of RCTs supports the use of calcium plus vitamin D supplements as an intervention for fracture risk reduction in both community-dwelling and institutionalized middle-aged to older adults.

  • Subjects:
  • Source:
    Osteoporos Int. 27:367-376.
  • Pubmed ID:
    26510847
  • Pubmed Central ID:
    PMC4715837
  • Document Type:
  • Volume:
    27
  • Collection(s):
  • Main Document Checksum:
    urn:sha256:ed43779d9601efcefb763e34d528dd0a1fa2554be8726da3bb654c225dbb6002
  • Download URL:
  • File Type:
    Filetype[PDF - 541.62 KB ]
ON THIS PAGE

CDC STACKS serves as an archival repository of CDC-published products including scientific findings, journal articles, guidelines, recommendations, or other public health information authored or co-authored by CDC or funded partners.

As a repository, CDC STACKS retains documents in their original published format to ensure public access to scientific information.