U.S. flag An official website of the United States government.
Official websites use .gov

A .gov website belongs to an official government organization in the United States.

Secure .gov websites use HTTPS

A lock ( ) or https:// means you've safely connected to the .gov website. Share sensitive information only on official, secure websites.

i

Using Mutual Information to capture Major Concerns of Postural Control in a Tossing activity

Supporting Files


Details

  • Alternative Title:
    J Biomech
  • Personal Author:
  • Description:
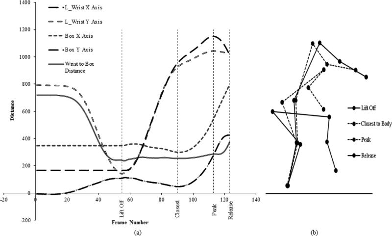
    Human body motion for load-tossing activity was partitioned into three phases using four critical events based on the load position viz. lift-off, closest to body, peak and release. For each phase, three objective functions values, viz. mobilization, stabilization and muscular torque utilization, used to control the motion patterns, were then calculated. We hypothesize that the relationships between different objective functions can be extracted using information theory. The kinematic data obtained with 36 treatment combinations (2 tossing distances, 2 tossing heights, 3 weights, and 3 target clearances) was used to estimate the mutual information between each pair of objective functions and construct Chow-Liu trees. Results from this research indicate that there was no dominant concern in the first two phases of the activity; however, torque utilization and mobilization were found to be important factors in the third phase of the load tossing activity.
  • Subjects:
  • Source:
    J Biomech. 48(6):1105-1111. ; J Biomech. 48(6):1105-1111.
  • Pubmed ID:
    25680297
  • Pubmed Central ID:
    PMC4648247
  • Document Type:
  • Funding:
  • Volume:
    48
  • Issue:
    6
  • Collection(s):
  • Main Document Checksum:
    urn:sha256:4016368b2c571781ce040591a6062f0f7602ab117fcf98b645fff86dc71b97e1
  • Download URL:
  • File Type:
    Filetype[PDF - 2.22 MB ]
ON THIS PAGE

CDC STACKS serves as an archival repository of CDC-published products including scientific findings, journal articles, guidelines, recommendations, or other public health information authored or co-authored by CDC or funded partners.

As a repository, CDC STACKS retains documents in their original published format to ensure public access to scientific information.