U.S. flag An official website of the United States government.
Official websites use .gov

A .gov website belongs to an official government organization in the United States.

Secure .gov websites use HTTPS

A lock ( ) or https:// means you've safely connected to the .gov website. Share sensitive information only on official, secure websites.

i

Antibody responses to the merozoite surface protein-1 complex in cerebral malaria patients in India

Supporting Files Public Domain


Details

  • Alternative Title:
    Malar J
  • Personal Author:
  • Description:
    Background

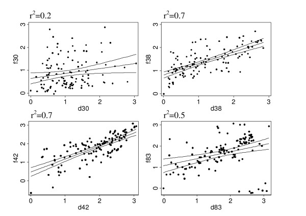
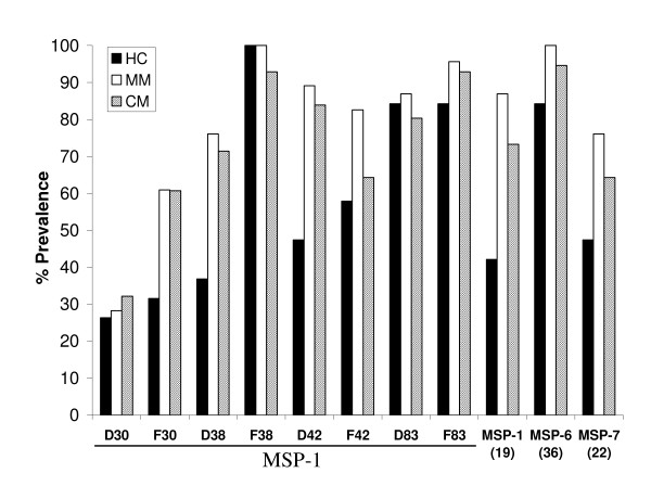
    Plasmodium falciparum infection causes cerebral malaria (CM) in a subset of patients with anti-malarial treatment protecting only about 70% to 80% of patients. Why a subset of malaria patients develops CM complications, including neurological sequelae or death, is still not well understood. It is believed that host immune factors may modulate CM outcomes and there is substantial evidence that cellular immune factors, such as cytokines, play an important role in this process. In this study, the potential relationship between the antibody responses to the merozoite surface protein (MSP)-1 complex (which consists of four fragments namely: MSP-183, MSP-130, MSP-138 and MSP-142), MSP-636 and MSP-722 and CM was investigated.

    Methods

    Peripheral blood antibody responses to recombinant antigens of the two major allelic forms of MSP-1 complex, MSP-636 and MSP-722 were compared between healthy subjects, mild malaria patients (MM) and CM patients residing in a malaria endemic region of central India. Total IgG and IgG subclass antibody responses were determined using ELISA method.

    Results

    The prevalence and levels of IgG and its subclasses in the plasma varied for each antigen. In general, the prevalence of total IgG, IgG1 and IgG3 was higher in the MM patients and lower in CM patients compared to healthy controls. Significantly lower levels of total IgG antibodies to the MSP-1f38, IgG1 levels to MSP-1d83, MSP-119 and MSP-636 and IgG3 levels to MSP-1f42 and MSP-722 were observed in CM patients as compared to MM patients.

    Conclusion

    These results suggest that there may be some dysregulation in the generation of antibody responses to some MSP antigens in CM patients and it is worth investigating further whether perturbations of antibody responses in CM patients contribute to pathogenesis.

  • Subjects:
  • Source:
    Malar J. 2008; 7:121.
  • Document Type:
  • Place as Subject:
  • Volume:
    7
  • Collection(s):
  • Main Document Checksum:
    urn:sha-512:f450382d03885b1ab79d2613f027385703fe0c48ce145a60c64bc98e95d222160de70f2174c5189844c2dbf5c764e4da9c6f4cd6018844d20a3a41fe061226ae
  • Download URL:
  • File Type:
    Filetype[PDF - 679.41 KB ]
ON THIS PAGE

CDC STACKS serves as an archival repository of CDC-published products including scientific findings, journal articles, guidelines, recommendations, or other public health information authored or co-authored by CDC or funded partners.

As a repository, CDC STACKS retains documents in their original published format to ensure public access to scientific information.