U.S. flag An official website of the United States government.
Official websites use .gov

A .gov website belongs to an official government organization in the United States.

Secure .gov websites use HTTPS

A lock ( ) or https:// means you've safely connected to the .gov website. Share sensitive information only on official, secure websites.

i

Burden among partner caregivers of patients diagnosed with localized prostate cancer within 1 year after diagnosis: an economic perspective

Supporting Files
File Language:
English


Details

  • Alternative Title:
    Support Care Cancer
  • Personal Author:
  • Description:
    Purpose

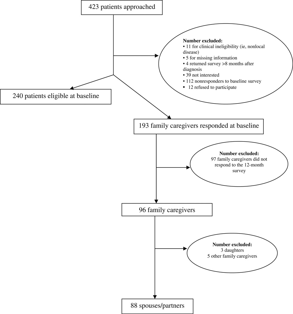
    Informal care plays an important role in the overall care for people with cancer. This study estimates lost productivity and informal caregiving and associated costs among partner caregivers of localized prostate cancer patients within 1 year after diagnosis.

    Methods

    We applied data from the Family and Cancer Therapy Selection study, a three-wave self-administered survey among patients diagnosed with localized prostate cancer and their partner caregivers in multiple clinics in the USA. Time spent was measured by the sum of working hours lost, informal caregiving hours performed, and hours spent on household chores. The national median income for women 55 years or older was used to calculate costs associated with the time spent using the opportunity cost method. Descriptive and bivariate analyses were conducted.

    Results

    The average working hours decreased from 14.0 h/week (SD=17.6) to 10.9 h/week (SD=15.9), without a significant change in responsibility/intensity at work. The mean annual time spent on informal caregiving and household chores was 65.9 h/year (SD=172.4) and 76.2 h/year (SD=193.3), respectively. The mean annual economic burden among partner caregivers was US$6,063 (range US$571–US$47,105) in 2009 dollars accounted for by a mean of 276.2 h (range 26–2,146) in the study sample. The time spent on informal caregiving and household chores varied by patient and caregiver characteristics.

    Conclusions

    Pilot estimates on non-medical economic burden among partner caregivers (spouses) during the initial phase of the treatment provide important information for comprehensive estimation of disease burden and can be used in cost-effectiveness analyses of prostate cancer interventions.

  • Subjects:
  • Source:
    Support Care Cancer. 21(12):3461-3469.
  • Pubmed ID:
    23955026
  • Pubmed Central ID:
    PMC4535430
  • Document Type:
  • Funding:
  • Place as Subject:
  • Volume:
    21
  • Issue:
    12
  • Collection(s):
  • Main Document Checksum:
    urn:sha256:660b45a2e253804fcb2ee0d4cc5baf4c7ef3acf56e93bbf0b711460d075c5371
  • Download URL:
  • File Type:
    Filetype[PDF - 901.22 KB ]
File Language:
English
ON THIS PAGE

CDC STACKS serves as an archival repository of CDC-published products including scientific findings, journal articles, guidelines, recommendations, or other public health information authored or co-authored by CDC or funded partners.

As a repository, CDC STACKS retains documents in their original published format to ensure public access to scientific information.